Проектирование лесовозной автомобильной дороги V категории в условиях Иланского лесничества
Часто вместо измерения угла наклона и введения поправки горизонтальное проложение, равное 100.00 м, между пикетами определяют способом ватерпасовки (рисунок 2).
Рисунок 2. Ветерпасовка.
В этом случае при измерении отрезка линии ленту располагают горизонтально на глаз, а ее приподнятый конец над землей проектируют отвесом. Перед началом работы члены бригады распределяют между собой обязанности на пикетажиста, двух мерщиков и подносчика. Пикетажист ведет пикетажный журнал и отвечает за выполнение всех видов работ на данном участке. Два мерщика (передний и задний) производят измерение линий как по трассе, так и при съемке ситуации. Подносчик забивает и подписывает колышки со сторожками. Разбивку пикетажа начинают с ПК0. задний мерщик закрепляет шпилькой штрих начала ленты с ПК0 и устанавливает переднего мерщика в створе линии. Шпилька, вдетая в вырез конца ленты, когда она вытянута, должна закрывать собой вершину угла поворота. В таком положении конец ленты закрепляется. Если в пределах данной ленты надо обозначить промежуточную точку, то в этой точке забивают колышек со сторожком и делают соответствующую надпись. Съемку ситуации производят по обе стороны от оси трассы. Ширину полосы съемки устанавливает преподаватель. По завершению съемки, ленту перемещают вперед и укладывают в створе линии второй раз и т.д. при уложении в створе линии 5-й ленты задний мерщик передает переднему пять шпилек, а вместо закрепленной передним мерщиком шпильки забивают ПК1 с соответствующей надписью на сторожке. Пикетажист все данные по закреплению промежуточных точек, пикетов и съемки ситуации своевременно заносит в пикетажный журнал (рисунок 3). Уложив ленту, в пределах которой находится вершина угла поворота, и определив его пикетажное проложение, разбивку пикетажа приостанавливают и приступают к определению и закреплению на местности главных точек кривой.
Рисунок 3. Пикетажный журнал
2. Обработка журнала геометрического нивелирования
Рассмотрим обработку журнала геометрического нивелирования трассы. Нивелирование выполнено нивелиром Н-3 двухсторонними рейками. Во избежание ошибок в журнале, на каждой странице подсчитываются разности отчёта по обеим сторонам рейки. Все разности должны отличатся друг от друга не более чем на 5 мм. После проверки полевых данных вычисляют превышения между связующими точками.
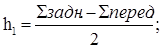
Превышения между связующими точками определяются как разности между задними и передними отсчётами по красной и черной стороне рейки в отдельности. Если отсчёт по задней рейке больше, чем отсчёт по передней, то превышение будет положительным, и наоборот.
Например, превышение Rp 57 над ПК0:
hКРАСН. = 6049 - 5574 = +472 (по красной стороне рейки); (2.1)
hЧЕРН. = 1365 – 0891 = +474 (по черной стороне рейки). (2.2)
Затем находят среднее превышение как среднеарифметическое значение из двух превышений:
Hcред= 472+474 = 473 (2.3)
2
Положительные превышения записывают в графу превышений со знаком (+), отрицательные – со знаком (-). После вычисления средних превышений на странице осуществляют постраничный контроль. Внизу на каждой странице журнала записывают:
1) суммы задних и передних отсчётов;
2) суммы превышений по красным и черным сторонам рейки;
3) суммы средних превышений между связующими точками.
По этим суммам находят три одинаковых превышения для данной страницы:
(2.4)
(2.5)
; (2.6)
Для примера рассмотрим постраничный контроль 1ой страницы.
h1= (43116+37234)/2 = 2941 ;
h2= (9344+(-3462))/2 = 2941 ;
h3= (4672+(-1731)=2941
Для правильного выполнения постраничного контроля каждая страница журнала должна начинаться задней связующей точкой и кончаться передней. Постраничный контроль не может служить полевым контролем нивелирования, он только подтверждает правильность арифметических вычислений.
Далее считают отметки связующих точек по формуле:
Hn=Hn-1 + Hисп;
где Hn – вычисляемая отметка;
Hn-1 – отметка предыдущей точки;
hиспр – исправленное превышение между этими точками.
Вычислив отметки всех связующих точек, приступают к вычислению отметок промежуточных точек, для чего определяют горизонт прибора для тех станций, на которых находятся промежуточные точки и поперечники
Горизонт прибора вычисляют по формуле
ГП = НЗАД. + а2, (2.7)
где ГП – горизонт прибора;
НЗАД. – отметка задней связующей точки;
а2 – черный отсчёт, прочитанный на задней рейке.
Пример: отметка горизонта прибора на 0-ой станции равна:
ГП = 49 506 + 1513 = 51 019
Для контроля ГП вычисляют второй раз по отметке передней связующей точки.
ГП = НПЕР. + В2; (2.8)
ГП=48643+2378=51 021,
Следовательно, ГПср=51 020.
Отметка промежуточной точки и точек поперечника рычага горизонту прибора минус отсчёт на промежуточную точку
НПРОМ. = ГП - аПРОМ. (2.9)
Отметка промежуточной точки ПК1
НПК1= 51 020 – 1969 = 49 051.
Вычислением отметок всех точек трассы (пикетов, плюсовых точек и точек поперечников) заканчивается обработка журнала.
Рисунок 4. Уровенная поверхность.
3. Построение профиля
Нивелирование трассы, как и всякая съёмочная работа, завершается графическим оформлением – составлением продольного профиля.
Продольный профиль дороги – это проекция вертикального разреза пути по его оси на развёрнутую плоскость.
Продольный профиль является самой полной технической характеристикой дороги и как технический документ необходим при проектировании, строительстве и эксплуатации дорог.
Профиль трассы составляют по данным журнала нивелирования и пикетажной книжки на миллиметровой бумаге, на которой графически построения выполняют без измерителя и масштабной линейки. Для придания профилю лучшей наглядности вертикальные расстояния (отметки) наносят в более крупном масштабе, обычно в десять раз крупнее, чем горизонтальные.
Для автомобильных дорог приняты масштабы: горизонтальный 1:5000, вертикальный – 1:500.
В сложных условиях могут быть увеличены с сохранением их соотношения.
Профили, выполненные тушью или скопированные на кальку, обрезают так, чтобы высота их была равна 283 мм, длину листа обрезают в зависимости от длины трассы. Построение профиля начинают с проведения линии условного горизонта на миллиметровой бумаге, отступив снизу 16 – 17 см.
Под линией условного горизонта делают разграфку сетки профиля для записи необходимых данных (вычертить согласно рисунка 2). На нижней линии графы расстояний в принятом для горизонтальных расстояний масштабе слева направо наносят пикеты и плюсы. Номера пикетов записывают на 1 – 2 мм ниже этой линии против границ пикетов. Полные номера пикетов пишут на целых десятках, а между десятками – только последнюю цифру их номера.
