Проектирование лесовозной автомобильной дороги V категории в условиях Иланского лесничества
d – горизонтальное расстояние между этими точками.
Если окажется, что вычисленный уклон больше значения уклона, установленного нормами проектирования ИПЛЗП-82 (больше 40 %), то положение линии смещается в сторону уменьшения уклона, или увеличения расстояния между концами линии. (Когда по условиям местности нельзя или невыгодно применять обёртывающую проектировку, то намечают секущую проектную линию).
Вычисленный уклон заносят в графу «Уклоны» сетки профиля, в которой участки профиля с одинаковыми уклонами ограничиваются ординатами. В построенных прямоугольниках условно диагоналями показывают направление уклонов, а горизонтальные участки дороги изображают горизонтальными линиями посередине. Над линией пишут величину уклона в целых тысячных долях, под линией - горизонтальное расстояние.
4.1 Вычисление уклонов и проектных отметок по бровке полотна
Проектные отметки для каждой пикетной и плюсовой точки, кроме начальной, определяют теоретически по формуле:
Нn = Hn-1 + id, (4.2)
где i – проектный уклон;
d – расстояние между точками.
Отметка любой точки проектной линии уклона равна отметке предыдущей точки этой линии плюс произведение уклона на горизонтальное расстояние между этими точками.
Вычисление проектных отметок производят последовательно, начиная со второй точки, и заканчивают вычислением отметки конечной точки для линии одного уклона. Проектные отметки выписывают в соответствующую графу с точностью до сотых долей метра. Последняя точка линии первого уклона будет начальной для следующего.
Пример:
Угол проектируют от ПК0 до ПК 1. Проектная отметка исходной точки ПК0 известна, вычисляем проектную отметку ПК 1 конечной точки линии первого уклона, которая, как отмечалось, равна отметке земли этой точки плюс высота насыпи
НПР ПК 1 = НПК 1 + насыпь; (4.3)
НПР ПК 1 = 49 051 + 1,3 = 50 351.
Значение уклона вычисляют по формуле:
i = НпрПК 1 – НпрПК0 =50 351-50 000 = 0.002=2‰ (4.4)
d 200
По вычисленному уклону определяют проектные отметки всех пикетных и плюсовых пронивелированных точек на этом участке трассы и вписывают их в графу проектных отметок.
НПК0 = 49 506 + 0,002 • 100 = 49 706 м.
НПК1 = 49 506 +0.002 • 100 = 53,80 м.
Вычисление уклона последующей линии производят после расчёта проектных отметок предыдущей линии. При этом за начальную отметку принимают вычисленную аналитическим способом отметку конечной точки линии предыдущего уклона.
4.2 Вычисление рабочих отметок
Величина земляных работ при постройке автодороги характеризуется рабочими отметками. Они определяются разностью проектных и фактических отметок точек профиля.
hРАБ = НПР – НФАКТ. (4.5)
Положительная рабочая отметка выражает высоту насыпи, отрицательная – глубину выемки. Рабочие отметки выписывают около проектной линии: положительные – над проектной линией (насыпью); отрицательные – под проектной линией (выемка в разрывах ординат).
Пример:
hраб0 = 49 706-49 506 = 0,2;
hраб1 = 50 351-49 051 = 1,3;
hраб2=50 391-48 643 = 1,74;
В такой последовательности высчитываются все рабочие отметки земли.
4.3 Расчёт расстояния до точек нулевых работ
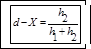
Точки пересечения проектной линии с линией земли называются точками нулевых работ, т.к. в этих точках заканчивается выемка и начинается насыпь, и наоборот. Чтобы обозначить точки нулевых работ на трассе, необходимо знать расстояние от ближайших точек профиля до точки нулевых работ (рис. 6), на котором представлена точка нулевых работ 0, расположенная между точками ПК2+46 и ПКЗ профиля; h1 и h2 – абсолютные значения рабочих отметок; d – горизонтальное расстояние между точками.
Рис.6 расстояние до точек нулевых работ.
На основании подобия треугольников с вершиной 0 имеем
, откуда
;
.
От точки нулевых работ к линии условного горизонта восстанавливают перпендикуляры, около которых справа и слева выписывают расстояния Х и (К – Х).Расстояние до нулевых точек вычисляют с точностью до десятых долей метра и выписывают в нижней части перпендикуляров. Контролем вычисления служит равенство суммы вычисленных расстояний фактическому расстоянию между точками.
Отметку нулевой точки вычисляют по формулам:
H0=Hпрпред+h10; (4.6)
H0=Hпрпосл-h20; (4.7)
h01= i · x; (4.8)
h02= i · (d-x); (4.9)
где Hпрпред – проектная отметка предыдущей точки;
Hпрпосл – проектная отметка последующей точки;
h01= превышение между нулевой точкой и предыдущей точки;
h02= превышение между нулевой точкой и последующей точкой;
i – проектный уклон;
4.4 Проектирование вертикальных кривых
На переломах проектной линии профиля в случае, если алгебраическая разность проектных уклонов более 15о/оо, в соответствии с ИПЛЗП-82, производят проектирование вертикальных кривых, обеспечивающих плавность движения транспорта и видимость дороги. Вертикальные кривые могут быть выпуклыми и вогнутыми (рисунок 7).
Рисунок 7 – Вертикальные кривые
Радиусы вертикальных кривых на магистралях всех категорий рекомендуется принимать не менее:
выпуклых – 5000 м;
вогнутых – 2000 м.
Допускаемые наименьшие радиусы выпуклых и вогнутых вертикальных кривых на трудных участках магистралей V категории в пересечённой местности принимаются равными 600 м.
Для построения вертикальной кривой достаточно знать только два её элемента: тангенс и биссектрису, которые определяют по алгебраической разности уклонов и выбранному радиусу. Для этого используют следующие таблицы:
А.Ф.Матвеев. Универсальные геодезические таблицы. – М.: Недра, 1979. – 142 с.;
Н.А.Митин. Таблицы для разбивки кривых на автомобильных дорогах. – М.: Недра, 1978. – 468 с
Значения тангенсов округляют до целых метров.
Вертикальные кривые условно показывают над проектной линией в горизонтальном масштабе профиля над рабочими отметками, условно принятыми обозначением (рисунок 11). Около каждой вертикальной кривой выписывают три основных элемента кривой: R, Т, Б и расстояние от прежних на величину биссектрисы.
Так как при замене ломаных проектных линий вертикальными кривыми изменяются рабочие отметки, то вычисление рабочей отметки заключаются в скобки, а рядом с ними выписываются их новые значения, отличающиеся от принятых на величину биссектриса.
Пример: для вертикальной кривой, проектируемой на профиле, произведён следующий расчёт: i = 0.4 0/00 – (-16 0/00) – 20 0/00, радиус кривой R =5000.
Тогда из таблицы Н.А.Митина Т = 50 м, В = 0,25 м. Для построения этой кривой от точки перелома линии на профиле – ПК4 отложить в обе стороны значения Т в горизонтальном масштабе профиля и условно обозначить выпуклость кривой. У концов кривой подписывают расстояние от НК и КК до предыдущих пикетов (- 50 и + 50). Рабочая отметка изменится на величину биссектрисы, равную 0.25 м, и вместо 0.75 будет 0.50.
