Модернизация технологической линии производства вареных колбас на ОАО Борисоглебский мясокомбинат
Продукция, вырабатываемая на ООО « Мясокомбинат «Бобровский» выгодно отличается от аналогов по всей Воронежской области за счет того, что завод работает на сырье, которое получает в своем цехе убоя. А это и вкусовые качества, и внешнее оформление, а также минимальное количество брака за счет использования парного мяса. Все это приводит к тому, что данная колбаса одна из самых покупаемых и пользующихся спросом у населения.
3.3 Обоснование рынков сбыта
Продукция мясоперерабатывающей отрасли имеет широкий рынок сбыта и стабильный спрос у населения. В сложившейся конъюнктуре рынка предприятие вышло сначала на потребителей районов области, но по прошествии 1 года завод вышел на рынок всей области и уверенно подбирается к лидирующим позициям. Потребителем выпускаемой продукции в данном случае являются как единичные, так и оптовые покупатели, заключающие долгосрочные договора.
В целом ООО « Мясокомбинат «Бобровский» удержало свой рынок в период переформирования и успешно продолжает борьбу.
3.4 Характеристика конкурентов и выбор конкурентной стратегии
Благодаря своему географическому размещению предприятие имеет возможность поставки продукции в Воронеж и районные центры в короткие сроки, что благотворно сказывается на покупательной способности (на каждой единице продукции указана дата производства).
Продукция ООО « Мясокомбинат «Бобровский» имеет прекрасный внешний вид в гигиенической упаковке, и прекрасный вкус в сочетании с нежной консистенцией, благодаря использованию парного мяса, сведению к минимуму использования различных добавок. Так же технологи предприятия постоянно отслеживают изменения государственных стандартов, технических условий и др.
Рекламная тактика обусловлена использованием промоулторских акций в магазинах, полиграфической продукции с символикой предприятия, описания продуктов и соответствия их стандартам и системам международного менеджмента. Сейчас начинает действовать интернет-ремклама завода и продукции. Основными конкурентами являются мясокомбинаты: «Нововоронежский», «Масловский», «Алексеевский», «Калачеевский», «Воронежский».
3.5 Производственный план
Технологический процесс вареных колбас состоит из следующих стадий: приемка сырья; убой и обескровливание; обвалка, жиловка; предварительное измельчение мясного сырья; посол мяса; созревание; тонкое измельчение и приготовление фарша; шприцевание фарша в оболочку; вязка батонов и навешивание в раму; термообработка (осадка, обжарка и варка); охлаждение и хранение.
В результате предлагаемой модернизации сократятся расход энергии, ручной труд, повысится качество продукции.
Предложенную модернизацию оборудования в линии производства вареных колбас можно провести силами ремонтной мастерской. Ремонтная мастерская обладает всем необходимым набором оборудования для проведения ремонта и изготовления деталей своими силами. Численность рабочих ремонтной мастерской 8 человек, в том числе два токаря, один фрезеровщик, три слесаря сборщика и два сварщика. Эти рабочие имеют опыт работы и высшие разряды. Предприятие обладает также средствами для закупки необходимых комплектующих.
Для реализации проекта необходимы следующие специалисты: разработчик - который представит чертежи модернизации, программист-технолог, для составления программы на станке с ЧПУ, рабочие для выполнения металлообрабатывающих операций, слесарь-монтажник - для установки подъемно- опрокидывающего механизма, замены ножей волчка, обслуживание агрегата для производства чешуйчатого льда.
3.6 Календарный план
Разработка календарного плана бизнес – плана осуществляется на основе сетевого моделирования.
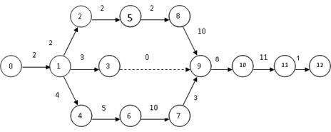
На рисунке 3.1 представлен сетевой график выполнения проекта, разработанный на основе данных таблицы 3.1.
Таблица 3.1 – Перечень выполняемых проектных работ
|
Наименование работ |
Продолжительность, человеко-дней |
Код |
|
1 |
2 |
3 |
|
1.Обоснование цели проекта |
2 |
0-1 |
|
2.Проведение маркетинговой деятельности |
2 |
1-2 |
|
3.Разработка технической документации |
3 |
1-3 |
|
4.Эскизное проектирование |
4 |
1-4 |
|
5.Выбор поставщиков ресурсов |
2 |
2-5 |
|
6.Фиктивная работа |
0 |
3-9 |
|
7.Техническое проектирование |
5 |
4-6 |
|
8.Расчёт потребности в ресурсах |
2 |
5-8 |
|
9.Рабочее проектирование |
10 |
6-7 |
|
10. Закупка производственных ресурсов |
10 |
8-9 |
|
11. Разработка технологии сборки |
3 |
7-9 |
|
12. Изготовление деталей |
8 |
9-10 |
|
13.Сборка изделия |
11 |
10-11 |
|
14.Внедрение проекта в производство |
1 |
11-12 |
По сетевому графику определяем продолжительность выполнения всего проекта. Самый длинный путь (критический) – 1-2-4-6-7-9-10-11-12. Его продолжительность составляет ТР=48 дней. Следовательно, продолжительность выполнения всего проекта составляет 48 дней.
3.7 Финансовый план
При составлении финансового плана особое внимание отводиться расчетам планируемых доходов и расходов, выбору оптимальных экономических решений, определению безубыточности. Под точкой безубыточности иди
Рисунок 3.1-Сетевой график выполнения проекта
