Умягчение воды катионированием
Таблица 20.7
Область применения Н-катиоиироваиия с «голодной» регенерацией
В случае Н-катионирования с «голодной» регенерацией весь поток умягчаемой воды последовательно проходит через Н-катинитовые фильтры, регенерируемые стехиометрическим количеством кислоты, затем через дегазатор для удаления оксида углерода (1У) и далее через одну или две ступени натрий-катинитовых фильтров. Стехиометрический расчет режима регенерации Н-катионита позволяет устранить из воды лишь карбонатную жесткость, некарбонатная жесткость удаляется при Nа-катионировании. По этой схеме отсутствуют кислые стоки и можно получить глубоко умягченную воду с остаточной щелочностью Що<0,7 мг-экв/л. Эту схему используют для умягчения вод, содержащих до 3 г/л солей при различной концентрации натрия, но карбонатная жесткость должна быть не менее 1 мг-экв/л.
Таблица 20.8
Технологические данные для расчета Н-катиоиитиых фильтров
Совместное Н—Nа-катионирование (рис. 20.15, е) осуществляют в одном фильтре, верхним слоем загрузки которого является Н-катионит, а нижним — натрий-катионит. Катионит регенерируют следующим образом. После взрыхления слоя его обрабатывают сначала раствором кислоты, затем раствором поваренной соли с последующей отмывкой. При совместном Н— Na-катионировании остаточная щелочность воды составляет 1,5 . 2,0 мг-экв/л, а жесткость 0,1 . 0,3 мг-экв/л. Жесткость исходной воды должна составлять не более 6 мг-экв/л, содержание натрия до 1 . 1,5 мг-экв/л, отношение карбонатной жесткости к некарбонатной должно быть больше единицы. Достоинством данной схемы является отсутствие кислых стоков, недостатком — сложность регенерации.
Расход воды qnNа подаваемой на натрий-катионитовые фильтры, и qnп, подаваемый на Н-катионитовые, определяют по формулам
(20.22)
(20.23)
;
где qn — полезная производительность Н—Nа-катионитовой ус- становки, м3/ч; и q*— полезная производительность Na Н-катионитовых фильтров, м3/ч; Щу — требуемая щелочность умягченной воды, мг-экв/л; Щ — щелочность исходной воды мг-экв/л; Л, — суммарное содержание в умягченной воде анионов сильных кислот, мг-экв/л.
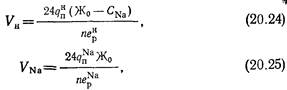
Объем катионита VH, м3, в Н-катионитовых и VNa, м3, Na-катионитовых фильтрах определяют по формулам
где Жо — общая жесткость умягчаемой воды, г-экв/м3; CNa — концентрация в воде натрия, г-экв/м3; п=1 .3 — число регенераций каждого фильтра в сутки; и е— рабочая обменная емкость Na и Н-катионита, г-экв/м3.
Рабочая обменная емкость, г-экв/м3, Н-катионита
(20.26)
где аэн — коэффициент эффективности, регенерации Н-катионита, зависящий от удельного расхода кислоты; Еа — полная обменная емкость катионита (паспортная) в нейтральной среде; qУ — удельный расход воды на отмывку катионита после регенерации, принимаемый 4 . 5 м3/м3 объема катионита в фильтре; Ск — общее содержание в воде катионов кальция, магния, натрия и калия, г-экв/м3.
Суммарная площадь, м2, Н и Nа-катионитовых фильтров
где Ак=2 . 2,5 — высота слоя катионита в фильтре, м.
Количество Na и Н-катионитовых фильтров в установке должно быть не менее двух. При количестве фильтров на установке менее шести принимают один резервный фильтр, при большем их количестве — два.
Для удаления оксида углерода(1У) из воды после Н-катионирования, а также из смешанной воды после Н—Nа-катионирования применяют вакуумно-эжекционные аппараты или дегазаторы с кольцами Рашига 25*25*3 мм. Высоту сдоя насадки подбирают в зависимости от концентрации, мг/л, оксида углерода (IV) в воде, подаваемой в дегазатор:
где [С02]и — концентрация свободного оксида углерода(IV) в исходной воде, мг/л; Щ — щелочность умягчаемой воды, мг-экв/л.
Вентилятор к дегазатору подбирают, исходя из условия подачи 20 м3 воздуха на 1 м3 обрабатываемой воды. Развиваемый им напор определяют на основании учета сопротивления насадки, для колец Рашига — 294,3 Па на 1 м высоты слоя, все другие сопротивления принимают равными 294,3 . 392,4 Па.
Н-катионитовые фильтры регенерируют 1 . 1,5%-ным раствором серной кислоты. Регенерационный раствор серной кислоты фильтруют через слой катионита со скоростью не менее 10 м/ч с последующей его отмывкой неумягченной водой, пропускаемой через катионит сверху вниз со скоростью 10 м/ч. Расход 100%-ной кислоты, кг, на одну регенерацию Н-катионитового фильтра qк
где а — площадь одного Н-катионитового фильтра, м2; qУД — удельный расход кислоты для регенерации катионита, г/г-экв.
Процесс регенерации Н-катионитовых фильтров описывается следующей реакцией:
Методы известково-катионитовый и частичного катионирования
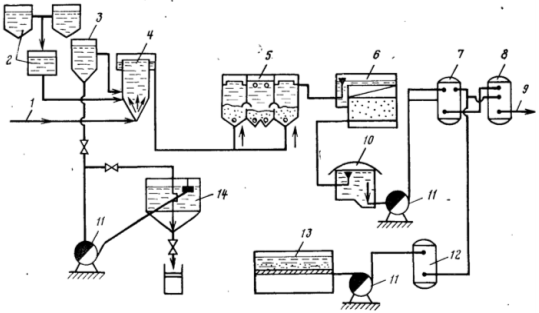
Известково-катионитовый метод умягчения воды (рис. 20.17) является смешанным способом и относятся к реагентно-катионитовому. Карбонатную жесткость исходной воды устраняют известкованием, затем вода поступает на последующее натрий-катионированпе. Известкование применяют для снижения щелочности (или карбонатной жесткости). Введение в воду гашеной извести в виде известкового молока или раствора вызывает нейтрализацию свободной углекислоты по уравнению
Рис. 20.17. Схема известково-иатрий-катионитового умягчения воды.
1,9 — подача исходной и отвод умягченной воды; 2 — аппаратура для коагулирования воды; 3 — дозатор известкового молока; 4 — смеситель (реактор); 5 — осветлитель со слоем взвешенного осадка; 6 — скорый осветлительный фильтр; 7,8 — натрий-катионитовый фильтр I и II ступени; 15 — промежуточный резервуар; 11 — повысительный насос; 12 — фильтр для осветления солевого раствора; 13 — бак мокрого хранения поваренной соли; 14 — бак известкового молока с гидравлическим перемешиванием
Затем добавление извести в большем количестве вызывает распад бикарбонатов Са (НС03)2 + Са (ОН)2 = 2СаС03 + 2Н20.
Известкованием устраняют из воды и некарбонатную жесткость при рН> 10,2 . 10,3. При значительном содержании Na(I) в; умягчаемой воде, если оно более 20% от суммарного содержания Ca(II) и Mg(II), целесообразно применять реагентно-катионитовое умягчение (известкование — натрий-катионирование). При регенерации водород-катионитовых фильтров кислотой в количестве, недостаточном для полного вытеснения катионов, катионит в фильтре будет находиться в двух формах: в. верхней части — в Н-форме, в нижней — в Ca(II) и Mg(II) - формах. При фильтровании воды через такой фильтр в верхней части фильтра все растворенные соли в результате обмена1 катионов на Н-ион будут превращаться в кислоты
