Умягчение воды катионированием
При этом угольная кислота будет распадаться с образованием Н20 и С02. В нижних слоях фильтра будет иметь, место реакция обмена между Са и Mg-катионитами и кислотой
в результате чего все некарбонатные соли будут оставаться в воде, а карбонатные удаляться из нее. Такой метод позволяет удалять только соли карбонатной жесткости, снижая щелочность воды до 0,4 . 0,5 мг-экв/л.
Частичное катионирование можно применять при умягчении; воды в том случае, если потребитель не предъявляет высоких- требований к жесткости воды. Часть воды поступает на умягчение, затем умягченная вода смешивается с исходной в пропорциях, определяемых качеством воды, необходимым потребителю.
Коэффициент разбавления
Расход исходной воды
Расход фильтрата
где Жтр — требуемая жесткость воды, мг-экв/л; Жф — жесткость фильтрата; Ки — исходная жесткость; Qo — общий расход воды; qф — расход фильтрата; Qw — расход исходной воды, т. е. воды, не подвергшейся умягчению.
Катионитовые фильтры, вспомогательные устройства катионитовых установок
Катионитовые фильтры бывают напорные и открытые. Напорные катионитовые фильтры (горизонтальные, вертикальные) состоят из цилиндрического корпуса, дренажной системы для отвода из фильтров умягченной воды и подачи на него воды для взрыхления катионита, распределительной системы для подачи в фильтр регенерационного раствора и сборной системы для отвода из фильтра воды при взрыхлении катионита и распределения по площади фильтра умягчаемой воды (см. рис. 20.13). Наиболее широко применяют напорные фильтры, главным образом вертикальные. Открытые катионитовые фильтры применяют только на установках большой производительности (более 500 м3/ч) и только при одноступенчатом катионировании.
Напорные катионитовые фильтры выпускают серийно отечественной промышленностью семи типоразмеров различных диаметров и с различной высотой загрузки катионитов, рассчитанные на рабочее давление 0,6 МПа и рабочую температуру до 60°С (табл. 20.9). Фильтр оборудуют необходимым количеством задвижек (или гидравлических затворов) и вентилей для управления работой фильтра, отбора проб воды. Кроме того, каждый фильтр снабжают следующей контрольно-измерительной аппаратурой: расходометром для измерения производительности фильтра, счетчиком для замера общего количества умягченной воды и двумя манометрами, один из которых показывает давление воды до фильтра, другой — после него. Вся аппаратура сконцентрирована с одной стороны фильтра, называемой фронтом фильтра.
В катионитовых фильтрах поддерживающие слои обычно не устраивают, а применяют щелевые или колпачковые дренажи, не требующие их устройства.
Для предотвращения коррозии внутреннюю поверхность корпуса и все детали катионитовых фильтров, соприкасающиеся с агрессивной средой, либо изготовляют из коррозионно-стойких материалов, либо надежно защищают специальными покрытиями. При использовании для изготовления Н-катионитовых фильтров обычной листовой стали внутреннюю поверхность корпуса фильтра гуммируют, оклеивают винипластовой фольгой или пластикатом, окрашивают перхлорвиниловым или бакелитовым лаком.
В состав катионитовых водоумягчительных установок кроме фильтров входят вспомогательные устройства для регенерации и отмывки фильтров в процессе их эксплуатации. На водоумягчительных установках малой производительности с расходом поваренной соли меньше 0,5 т/сут ее можно хранить в сухом виде в неотапливаемых складах и растворять в проточных солерастворителях непосредственно перед регенерацией натрий-катионитового фильтра. Они представляют собой металлические цилиндрические резервуары с двумя полусферическими днищами, рассчитанные на рабочее давление до 0,6 МПа. В нижней части солерастворителя укреплено дренажное устройство в виде коробки со щелями у основания. Над ним расположены гравийные подстилающие слои с уменьшающимися кверху размерами зерен, на которые загружается поваренная соль в количестве, необходимом для одной регенерации.
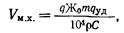
Концентрация раствора соли, выходящего из проточного солерастворителя, неблагоприятная для регенерации натрий-ка- тионитовых фильтров — вначале она большая и по мере растворения соли падает. Поэтому иногда раствор соли из солерастворителя направляют в отдельный бак, где поддерживают концентрацию рассола в пределах до 10%, затем при регенерации его разбавляют. При больших расходах соли применяют мокрое хранение (рис. 20.19), при котором поступающую на водоумягчительную установку поваренную соль засыпают в большую емкость и заливают водой. Объем баков для мокрого хранения соли Vм. х, м3, рассчитывают по формуле
(20.32)
где q — расход воды на натрий-катионитовые фильтры, м3/сут; Жо — удаляемая при натрий-катионировании общая жесткость воды, г-экв/м3; т — срок хранения запаса соли (обычно 20 .40 сут); (qуд — удельный расход соли на регенерацию катионита, г/г-экв поглощенной жесткости; р — плотность раствора соли, г/см3; С — концентрация раствора соли (обычно равна 20 . 25%).
По приведенной формуле 1 т поваренной соли занимает 5 . 6 м3 емкости бака. Для сокращения его объема соль можно хранить не в виде раствора, а в замоченном состоянии; необходимая при этом емкость составляет 2 . 2,5 м3 на 1 т соли.
Железобетонные баки-хранилища обычно располагают вне здания с некоторым заглублением в грунт и перекрывают дощатыми щитами. При однорядном расположении хранилищ мокрой соли их располагают параллельно стене здания водоумягчительной установки, при двухрядном — между ними устраивают железнодорожную колею, а также оборудуют насосную станцию с насосами и воздуходувками. Для ускорения растворения соли применяют перемешивание воздухом, циркуляцию рассола или сочетают оба способа; при низкой температуре окружающей среды желательно применять подогретую воду. На дне емкостей-хранилищ прокладывают лоток или сборную дырчатую трубу и ограждают коробом с отверстиями, который
Рис. 20.19. Схема солевого хозяйства. 3 — резервуар-хранилище поваренной соли; 4 — гравийно-песчаный осветлительный фильтр; 5 — слой соли; 1 — подача воды; 2 — бак постоянного уровня; 6 — отвод раствора соли на регенерацию; 7 — эжектор; 8 — расходные баки соли
Обсыпают гравием или щебнем крупностью 3 . 4 до 30 . .40 мм, что позволяет освободить рассол от грубодисперсных примесей. Более полно раствор поваренной соли осветляется на кварцевых фильтрах. Рекомендуется применять открытые фильтры со скоростью фильтрования 4 . 5 м/ч при толщине слоя песка 0,6 .0,8 м (размер зерен 1 . 1,5 мм). Осветленный концентрированный раствор соли собирают в бак из двух отделений, используемых в качестве мерников. Целесообразно подавать рассол на катионитовые фильтры эжектором, одновременно разбавляя его до нужной концентрации. При этом на трубопроводе эжектирующей воды (давление не менее 0,40 . .0,45 МПа) устанавливают расходомер, а за эжектором автоматический концентратомер.
