Фильтрование воды
( 2.6)
Извлекаемые слоем из воды частицы образуют осадок на зернах слоя, накапливающийся в ходе процесса. Количество отложений в слое толщиной Δx; составляет ρ*Δх, а скорость накопления отложений в слое или количество вещества, накапливающегося в нем за единицу времени t, равно
(12.7)
Приравнивая выражения (12.6) и (12.7), получим
'
Дифференциальное уравнение (12.8) является уравнением баланса веществ. Оно показывает, что количество вещества, извлеченного слоем Ах из воды за единицу времени, равно количеству накопившегося в этом слое вещества за тот же промежуток времени.
Дифференцируя уравнение (12.5) по времени и учитывая уравнение баланса (12.8), получим
(12.9)
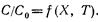
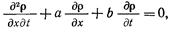
Это уравнение в дифференциальной форме описывает кинетику процесса осветления при фильтровании суспензий. Аналогично уравнению (12.9) получим дифференциальное уравнение для плотности насыщения
(12.10)
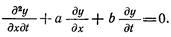
описывающее в дифференциальной форме процесс изменения плотности насыщения фильтрующей загрузки осадком по ее высоте с течением времени. Выражения (12.9) и (12.10) интегрируются, но решение получается в виде бесконечного ряда и его трудно использовать для практических расчетов, которые упрощаются, если воспользоваться критериями подобия для процесса осветления, получаемыми из анализа дифференциального уравнения (12.9). С этой целью преобразуем уравнение (12.9), введя безразмерное отношение мгновенной концентрации к начальной концентрации частиц в воде, поступающей на фильтр: У=С/С0. Тогда
Подставляя эти значения в уравнение (12.9) и сокращая по- сТОянный множитель С0, получим
(12.11)
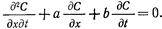
Введем теперь новые независимые безразмерные переменные
X = bx, Т = at(12.12)
Подставляя эти значения в уравнение (12.11) и сокращая постоянные множители а и b, получим
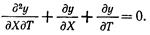
(12.13)
В уравнение (12.13) в отличие от исходного уравнения (12.9) непосредственно не входят параметры фильтрования а и Ь, которые характеризуют формы протекания процесса. Следовательно, оно является общим для всего многообразия условий протекания процесса фильтрования.
Безразмерные переменные X и Т устанавливают подобие протекания процесса осветления при разных условиях и являются критериями подобия. Изменение концентрации взвеси в воде при ее движении через зернистый слой определяется только значением этих критериев, т. е.
(12.14)
Для процессов, протекающих подобно, масштабные множители обычно определяют методами теории размерностей. Обобщенная кривая С/С0 = f1(Х') при Т' = const, которая дает одновременно представление о влиянии на ход процесса толщины фильтрующего слоя, скорости фильтрования и размера зерен загрузки. Она показывает, что качество фильтрата зависит от перечисленных факторов лишь на определенном участке значений X. При достаточно больших значениях X изменение этих факторов практически не оказывает влияния на качество фильтрата. Поэтому для получения устойчивого эффекта осветления воды фильтровальные аппараты Должны работать в области достаточно больших значений X. При этом условии увеличение скорости фильтрования в определенных пределах не вызовет ухудшения качества фильтрата. Обобщенная кривая С/С0=/2(Т') при X'= const. Как видно из совмещенного графика, необходимый эффект осветления сохраняется на определенном интервале значений Т. Используя теорию размерностей, значения критериев X и Т находим из выражений X' — x/(v7d1'7)
(12.15)
Из уравнения (12.14) можно заключить, что при С/С0 = =const между критериями X и Т должна существовать однозначная зависимость. Экспериментальные данные показывают, что такая зависимость действительно существует и выражается прямой линией
Рис. 12.6. Обобщенный график C/C0=fl(X')
X' = kT' + X'0, Тангенс угла наклона прямой линии k и отрезок, отсекаемый на оси ординат Хо', являются параметрами фильтрования, значения которых при определенном заданном значении С/С0 зависят от физико-химических свойств воды и взвеси. Их определяют экспериментально. Зависимость (12.16) имеет важное практическое значение, так как она устанавливает связь между временем защитного действия загрузки, толщиной ее слоя, размером ее зерен и скоростью фильтрования.
Рис. 12.7. Обобщенный график С/С0=?г(Г)
Подставляя значения X' и Т' из (12.15) в выражение (12.16), получим
Или
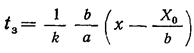
где t3 — продолжительность защитного действия зернистой загрузки; х — толщина слоя загрузки; k и Х0 — константы, значения которых зависят только от требуемого эффекта осветления С/Со (принимаются по номограммам Д. М. Минца); Ъ — параметр, характеризующий интенсивность прилипания; alb — параметр, характеризующий скорость проникновения взвеси в. глубь загрузки.
Из выражения (12.17) следует, что время защитного действия загрузки возрастает с увеличением толщины ее слоя и уменьшается с ростом скорости фильтрования и размера зерен загрузки. Уравнение (12.18) связывает время защитного действия загрузки с параметрами кинетики процесса фильтрования, а/b и b. Опыт свидетельствует, что в неоднородных загрузках фильтровальных аппаратов время защитного действия зависит от эквивалентного диаметра зерен, значение которого и должно учитываться при расчетах по формулам (12.17) и (12.18).
Осадок, образующийся в зернистой загрузке при фильтровании воды, изменяет поперечное сечение и форму поровых каналов, т. е. геометрическую структуру пористой среды. Из теории фильтрования однородных жидкостей известно, что геометрическая структура пористой среды оказывает существенное влияние на ее гидравлическое сопротивление. Поэтому при накоплении осадка гидравлическое сопротивление зернистого слоя изменяется и потери напора в нем растут. Для установления основных закономерностей прироста потери напора необходим учет характера изменения геометрической структуры зернистого слоя при накоплении в нем осадка.
