Фильтрование воды
(12.46)
Преобразуем также уравнение (12.17), представив его в виде
(12.47)
фильтрование вода зернистый напор
где
) — критериальный комплекс.
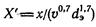
Рис. 12.10. График зависимости
Значение критериального комплекса X' удобно определять с помощью номограммы (рис. 12.11). Расчет скорости фильтрования и параметров загрузки проводится по методу постепенного приближения. Например, если требуется определить скорость фильтрования и толщину слоя загрузки при заданном ее зерновом составе, то необходимо сначала, задавшись некоторым произвольным значением, скорости, вычислить по формуле (12.45) толщину слоя загрузки х. Затем по формуле (12.47) определить продолжительность защитного действия — U, найдя входящий в формулу параметр X' по номограмме. Если найденное U не соответствует заданному оптимального режима значению, то задаются другим значением скорости фильтрования и вычисления повторяют до тех пор, пока не будет получена требуемая продолжительность защитного действия загрузки.
Аналогично производят расчет при заданной производительности водоочистного комплекса. В этом случае по заданной скорости фильтрования и толщине слоя фильтрующей загрузки находят требуемый ее зерновой состав.
Рис. 12.11. Номограмма для определения критериального комплекса Х'
Фильтрующая загрузка является основным рабочим элементом фильтровальных сооружений, поэтому правильный выбор ее параметров имеет первостепенное значение для их нормальной работы. При выборе фильтрующего материала основополагающими являются его стоимость, возможность получения в районе строительства данного фильтровального комплекса и соблюдение определенных технических требований, к числу которых относятся: надлежащий фракционный состав загрузки; определенная степень однородности размеров ее зерен; механическая прочность; химическая стойкость материалов по отношению к фильтруемой воде. Степень однородности размеров зерен, фильтрующей загрузки и ее фракционный состав существенно влияют на работу фильтра. Использование более крупного фильтрующего материала, чем это предусмотрено, влечет за собой снижение качества фильтрата. Использование более мелкого фильтрующего материала вызывает уменьшение фильтроцикла, перерасход промывной воды и удорожание эксплуатационной стоимости очистки воды. Использование фильтрующих материалов с большой степенью неоднородности по величине зерен, превышающей Допустимые пределы, ухудшает условия их промывки, так как вынос верхних мелких фракций начнется раньше, чем придет в Движение основная масса зерен загрузки. Это вызывает необходимость снижения интенсивности промывки, чтобы прекратить вынос мелких фракций. При этом значительная часть фильтрующего слоя будет промыта недостаточно. Кроме ухудшения Условий промывки загрузки, применение весьма неоднородного по крупности фильтрующего материала вызывает ухудшение, условий фильтрования из-за образования поверхностной фильтрующей пленки.
Однородность и крупность фильтрующего материала определяют ситовым анализом путем просеивания навески материала через ряд калиброванных сит. Калибр сита определяется диаметром шара, равновеликого по объему наиболее крупным зернам фильтрующего материала, проходящим еще через данное сито. Для определения зернового состава и однородности из данной партии фильтрующего материала отбирают среднюю пробу в количестве 300 г и высушивают ее до постоянной массы при температуре 105° С. Из этого количества высушенного материала берут навеску 200 г (взвешенную с точностью до 0,01 г) и рассеивают на наборе калиброванных сит.
Таблица 12.1
|
Калибр сита, мм |
Осталось на сите |
Прошло через сито | ||
|
г |
% |
г |
% | |
|
0,25 |
18 |
9,0 |
1 |
0,05 |
|
0,41 |
12 |
6,0 |
19 |
9,5 |
|
0,56 |
71 |
35,5 |
29 |
14,5 |
|
0,68 |
60 |
30,0 |
129 |
64,5 |
|
0,80 |
18 |
9,0 |
159 |
79,5 |
|
0,94 |
11 |
5,5 |
174 |
87,0 |
|
1,01 |
6 |
3,0 |
187 |
93,5 |
|
1,48 |
2 |
1,0 |
198 |
99,0 |
По данным табл. 12.1 построен график (рис. 12.12) ситового анализа фильтрующего материала, по которому можно определить основные показатели фильтрующей загрузки: эквивалентный диаметр зерен, который имеет важное значение при расчете фильтрующей загрузки; параметры, определяющие коэффициент неоднородности фильтрующей загрузки, а именно: 10%-ный калибр зерен материала, равный такому калибру сита, через который прошло 10% (по массе) просеиваемого материала, и 80%-ный калибр, равный такому калибру сита, через который прошло при просеивании 80% зерен (по массе).
Рис. 12.12. График гранулометрического состава песка
Эквивалентный диаметр зерен dэ, мм, определяют по формуле
(12.48)
где pi — процентное содержание (по массе) фракций со средним диаметром зерен dэ, т. е. количество просеиваемых зерен, %, оставшихся на сите калибр ОМ Uk. Для фильтрующего материала, результаты ситового анализа которого представлены в табл. 12.1, величина составит:
Коэффициент неоднородности фильтрующей загрузки определяют как отношение 80%-го калибра материала к его 10%-му калибру; kH = d80/dll0. Для фильтрующего материала, график ситового анализа которого приведен на рис. 12.12, коэффициент неоднородности составит: kR = 0,82/0,42= 1,95.
