Фильтрование воды
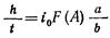
Рис. 12.8. Обобщенный график роста потери напора
Это свидетельствует о возможности построения графика зависимости h-b/i0 от критерия Т и параметра А, который может быть использован для определения потери напора в любом рассматриваемом случае. Подобный график (рис. 12.8) построен на основании расчетов по формуле (12.35) с использованием уравнения (12.10). График позволяет определить прирост потери напора в фильтре в любой момент времени, если известны параметры процесса фильтрования a, b и А, а также гидравлический уклон t0. Обобщенный график (рис. 12.8) воспроизводит характер изменения потери напора.
Для упрощения расчетов можно с достаточной степенью точности предположить, что с самого начала процесса темп прироста потери напора не меняется, т. е.
(12.39)
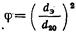
где F(A) — тангенс угла наклона прямолинейного участка графика (рис. 12.9) зависящий только от величины предельной насыщенности.
Рис. 12.9. Значения функции F(Л)
Подставляя значение Т = а*t в уравнение (12.39), получаем формулу для расчета темпа прироста потери напора
(12.40)
При линейном приросте потери напора в процессе фильтрования его продолжительность до момента достижения предельной потери напора tH равна
где Япр — предельно допустимая потеря напора в загрузке фильтра, определяемая высотной схемой сооружений. С учетом зависимости (12.40) имеем
Уравнения (21.41) и (12.42) применимы только к однородным по размеру зерен загрузкам.
Но в реальных фильтрах мы имеем дело с неоднородными загрузками, фракции которых хотя и перемешаны друг с другом, но так, что средний диаметр зерен каждого горизонтального слоя постепенно увеличивается от слоя к слою в направлении от поверхности загрузки к ее основанию в результате гидравлической сортировки зерен при промывке в восходящем потоке воды. Так как потеря напора возрастает в основном в первых по направлению движения воды слоях загрузки, то все величины в правой части уравнения (12.40) должны быть отнесены к диаметру зерен загрузки, при которой вычисленный прирост потери напора для однородной загрузки будет равен потери напора для данной неоднородной загрузки. Для этого используют предложение В. П. Криштула, согласно которому потеря напора в неоднородной загрузке с эквивалентным диаметром dэ равна потере напора в однородной загрузке с таким же диаметром, помноженной на квадрат коэффициента неоднородности. Последний определяется отношением эквивалентного диаметра к среднему диаметру зерен первого по движению воды слоя загрузки с толщиной, равной 20% полной высоты загрузки d20. Таким образом,
Где
(12.45)
Следует отметить, что отношение d3/d20 зависит не только от зернового состава загрузки, но и от направления движения обрабатываемой воды. Оно будет больше единицы при движении. воды сверху вниз, как в обычных скорых фильтрах, и меньше единицы при движении снизу вверх, как в контактных осветлителях и фильтрах системы АКХ; в уравнениях (12.43) и (12.44), как и в уравнениях для определения времени защитного действия (12.18), все параметры фильтрования относятся к эквивалентному диаметру зерен неоднородной загрузки.
Оптимизация режима фильтрования. Расчет загрузки скорых фильтров
Из изложенного следует, что процесс обработки воды фильтрованием через зернистую загрузку описывается двумя основными уравнениями, определяющими время защитного действия загрузки (12.18) и время, в течение которого достигается предельная потеря напора (12.44). Эти уравнения относятся к автомодельной области работы фильтров, в которой изменение скорости фильтрования, толщины слоя загрузки и размера зерен не влияют или влияют незначительно на концентрацию взвеси в фильтрате. Соотношение между продолжительностью защитного действия загрузки и времени, в течение которого достигается предельная потеря напора, могут быть различные. Когда t3>tH фильтр выключают на промывку в связи с тем, что дальнейший прирост потери напора невозможен, так как существующий напор, обусловленный расположением сооружений, расходуется на преодоление сопротивления загрузки. Когда t3<tn, фильтр выключают на промывку в связи с начинающимся ухудшением качества фильтрата, а когда t3 = tH, то моменты достижения предельной потери напора и начала ухудшения качества фильтрата совпадают. С технико-экономической точки зрения наилучшим соотношением является t3 = tn. Так, условие t3>tH означает, что задерживающая способность загрузки используется не полностью, так как фильтр выключают на промывку (при предельной потере напора), хотя он мог бы еще в течение некоторого времени работать, выдавая воду требуемого качества. При t3<tn не полностью используется располагаемый напор, так как фильтр выключают на промывку (вследствие ухудшения качества фильтрата) в момент, когда потеря напора в загрузке не достигла своего максимума.
Анализ уравнений (12.18) и (12.44) показывает, что путем изменения толщины слоя или эквивалентного диаметра зерен загрузки при одновременном увеличении скорости фильтрования всегда можно уменьшить t3, если t3>tH, или t„, если tH> >t3, и добиться, таким образом, равенства t3 = tн, при котором обеспечивается максимальная производительность фильтровального аппарата. Тем не менее с точки зрения санитарной надежности целесообразно принимать значение t3/tn>1, так как при этом в течение всего фильтроцикла гарантируется высокое качество фильтрата, повышается степень санитарной надежности сооружений. Чем больше отношение t3/tH, тем выше степень санитарной надежности фильтров, но тем они дороже в строительстве и эксплуатации, так как с увеличением этого отношения растет неиспользуемый скрытый резерв производительности фильтров. Поэтому основная идея расчета фильтрующих загрузок состоит в том, что исходят из определенного, заранее заданного отношения продолжительности защитного действия загрузки к времени, в течение которого достигается потеря напора (t/tn= 1,2 . 1,3), обеспечивающего вместе с тем достаточную санитарную надежность и экономичность работы фильтров. Режим работы фильтровального аппарата, при котором обеспечивается указанное соотношение, может быть назван оптимальным.
Задача определения расчетной скорости фильтрования и параметров загрузки фильтров при оптимальном режиме их работы сводится к совместному решению уравнений (12.18) и (12.44), в которых заданными величинами являются параметры фильтрования a/b, b и А (определяются по результатам технологического анализа воды): продолжительность рабочего цикла (в соответствии с требованиями СНиП 2.04.02—84 расчетная продолжительность фильтроцикла принимается 12 ч); продолжительность защитного действия загрузки t3 назначается в соответствии с принятым для оптимального режима отношением t3/tu. Предельная потеря напора Нпр назначается в соответствии с высотной схемой водоочистного комплекса. Неизвестными величинами в уравнениях (12.18) и (12.44) остаются скорость фильтрования v, толщина слоя загрузки х, эквивалентный диаметр зерен йэ и степень неоднородности загрузки ср. Последние две величины взаимосвязаны, так как зависят от зернового состава фильтрующей загрузки. Эквивалентный диаметр d3 вычисляют. Параметр ф находят по экспериментальному графику (рис. 12.10) по величине отношения d20/d3. Таким образом, имеем три неизвестных при двух уравнениях: скорость фильтрования, толщину слоя фильтрующей загрузки и ее зерновой состав. Поэтому задача расчета фильтров на оптимальный режим их работы имеет несколько решений. Следовательно, для получения одного определенного решения необходимо задаться или скоростью фильтрования, или толщиной слоя загрузки, или ее зерновым составом. Задавшись, например, зерновым составом фильтрующей загрузки, расчетом определяют ее необходимую толщину и скорость фильтрования. Для расчетов удобно преобразовать уравнение (12.44), решив его относительно толщины слоя х. Тогда оно примет вид
