Фильтрование воды
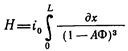
Геометрическую структуру зернистого слоя характеризуют его пористостью и суммарной поверхностью стенок поровых каналов в единице объема слоя. Эти величины входят в выражение для гидравлического уклона. Они изменяются при накоплении осадка в слое. При фильтровании воды через зернистый слой гидравлический уклон (потери напора на единицу длины) равен
где г] — вязкость воды; v — скорость фильтрования; ах — суммарная поверхность стенок поровых каналов в единице объема слоя; п — пористость слоя.
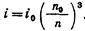
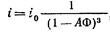
Обозначим гидравлический уклон, поверхность поровых каналов и пористость слоя в начальный момент фильтрования через t0; а0 и по, а в момент времени t — i, а, пи подставим в выражение (12.19), получим
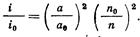
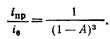
Сопоставляя отношение (12.19) и (12.20), получим
По мере заиления загрузки ее пористость уменьшается. Что же касается характеристики поверхности поровых каналов, омываемой потоком, то здесь наблюдаются две противоположные тенденции. С одной стороны, зерна фильтрующего слоя постепенно обрастают адсорбированными частицами взвеси и укрупняются в объеме, что приводит к увеличению поверхности, омываемой потоком.
С другой стороны, отложения на каждом зерне, разрастаясь, соединяются между собой. На отдельных участках порового пространства, в которых ранее происходило движение воды, образуется "мертвая зона", где движение воды отсутствует. Это приводит к уменьшению поверхности, омываемой потоком жидкости. В среднем отношение может быть принято равным единице.
Тогда допустимо в первом приближении пренебречь изменением поверхности и выражение (12.21) трансформировать в
Обозначим объем осадка, накопившегося в единице объема загрузки, через Ап (удельный объем осадка). Учитывая, что
п = п0-Δп,(12.23)
формулу (12.22) можно переписать в виде
или
где V=Δn/n0 — объем осевшей массы частиц в единице объема порового пространства.
Обозначив массовую концентрацию частиц в единице объема осадка через у, получим
(12.26)
где ρ— плотность насыщения (массовое количество осадка в единице объема зернистого слоя).
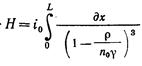
Потеря напора в слое однородной зернистой загрузки при фильтровании суспензии
(12.27)
где L — толщина слоя.
Подставляя в (12.27) значение i по формуле (12.24) и Ал по формуле (12.26), получим
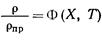
Непосредственное использование выражения (12.28) затруднительно, так как плотность насыщения ρ изменяется не только по высоте слоя, но и во времени согласно уравнению (12.10). Решение уравнения (12.10) показывает, что отношение плотности насыщения в любой момент времени и в любом сечении загрузки к предельной плотности насыщения зависит только от значений безразмерных критериев (12.12), т. е.
(12.29)
Заменяя ρ в формулах (12.25) и (12.28) его значениями из формулы (12.29), получим
(12.30)
(12.31)
(12.32)
Величина А является самостоятельной физической характеристикой процесса фильтрования и представляет собой предельно возможную в данных условиях насыщенность порового пространства отложениями или отношение предельного удельного объема осадка к начальной пористости чистой загрузки. Выражение (12.30) указывает на связь между предельной наторая находится в состоянии предельного насыщения, при этом ф = 1 и
(12.33)
Из (12.33) следует, чем больше предельная насыщенность, тем больше предельный гидравлический уклон, а следовательно, и гидродинамические силы, которые воздействуют на структуру осадка. Следовательно, предельный гидравлический уклон и предельная насыщенность характеризуют прочность осадка.
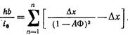
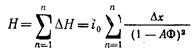
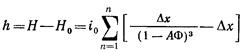
Потеря напора в слое фильтрующей загрузки толщиной х в момент времени t может быть определена с использованием интеграла (12.31) и заменой его суммой
Прирост потери напора равен разности между потерей напора в заиленной загрузке и начальной потерей в чистой загрузке, а, именно:
(12.35)
Потеря напора в любом фильтрующем слое и ее прирост зависит от толщины слоя. Однако, при достаточно большой толщине слоя прирост потери напора будет определяться только распределением осадка по толщине слоя во времени. Такой слой работает в автомодельной области. Рассмотрим закономерности изменения потери напора в слоях, работающих в автомодельной области. Умножив левую и правую части равенств (12.35) на параметр b и разделив на i0, получим
(12.36)
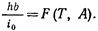
Суммирование производим по интервалам значений Δх, причем для каждого интервала принимаем среднее значение функции Ф, которая представляет собой отношение среднего для Данного интервала значения плотности насыщения к предельной плотности насыщения. При соблюдении условия автомодельности комплекс h b/i0 не зависит от критерия X, а только от распределения осадка по интервалам значений х и от критерия Т, с изменением которого меняется распределение осадка. Поэтому в автомодельной области
(12.37)
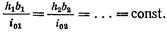
Следовательно, безразмерный комплекс h b/i0 является новым критерием подобия процесса фильтрования. Он представляет собой обобщенную потерю напора, так же как критерий X — обобщенную толщину фильтрующего слоя, а критерий Т — обобщенную продолжительность фильтрования. Если известна величина h*b/i0 при определенных значениях потери напора, параметра b и начального гидравлического уклона i0, то простым пересчетом можно определить потерю напора при других значениях b и 10, при сохранении условия
(12.38)
При различных условиях проведения процесса фильтрования свойства примесей, скорость фильтрования, крупность зерен загрузки будут разными. Поэтому различным будет и прирост потери напора за определенный промежуток времени, однако равным значениям Т и А отвечают равные значения комплекса h*b/i0.
