Анализ прибыли как одной из основных функций управления
Данные таблицы показывают причины увеличения суммы отчислений в фонды предприятия и дивидендные выплаты, что позволяет сделать определенные выводы и разработать мероприятия, направленные на увеличение суммы прибыли,а соответственно и фондов предприятия. В данном примере прирост отчислений в фонды предприятия вызван изменением структуры реализованной продукции, повышением отпускных цен, доходами по внереализованным операциям. Отрицательное влияние оказали такие факторы, как повышение себестоимости продукции, в том числе за счет роста ресурсоемкости продукции, экономические санкции за сокрытие прибыли, занижение налогов и несвоевременное внесение их в бюджет, а также сверхплановые отчисления прибыли в благотворительные фонды.
В процессе анализа необходимо изучить динамику доли прибыли, которая идет на выплату дивидендов держателям акций предприятия, самофинансирование предприятия (реинвестированная прибыль), фонд социальной сферы, материальное стимулирование работников, и таких показателей, как сумма самофинансирования и сумма капитальных вложений на одного работника, сумма зарплаты и выплат на одного работника. Причем изучать данные показатели надо в тесной связи с уровнем рентабельности, суммой прибыли на одного работника, на один рубль основных производственных фондов. Если эти показатели выше, чем на других предприятиях, или выше нормативных для данной отрасли производства, то существует перспективы для развития предприятия.
Важной задачей анализа является изучение вопросов использования средств фондов накопления и потребления. Средства этих фондов имеют целевое назначение и расходуются согласно утвержденным сметам. Фонд накопления используется в основном для финансирования затрат на расширение производства, его техническое перевооружение, внедрение новых технологий и т.д.
Фонд потребления может использоваться на коллективные нужды (расходы на содержание объектов культуры и здравоохранения, проведение оздоровительных и культурно-массовых мероприятий) и индивидуальные (вознаграждение по итогам работы за год, материальная помощь, стоимость путевок в санатории и дома отдыха, стипендии студентам, частичная оплата питания и проезда, пособия при уходе на пенсию и т.д.).
В процессе анализа устанавливается соответствие фактических расходов расходам, предусмотренным сметой, выясняются причины отклонений от сметы по каждой статье, изучается эффективность мероприятий, проводимых за счет средств этих фондов. При анализе использования средств фонда накопления следует изучить полноту финансирования всех запланированных мероприятий, своевременность их выполнения и полученный эффект.
Глава 3 Анализ влияния использования прибыли на финансовое положение
предприятия ОАО « Мурманский тарный комбинат»
Соотношение использования прибыли на накопление и потребление оказывает влияние на финансовое положение предприятия. Недостаточность средств, направляемых на накопление, сдерживает рост оборота, приводит к увеличению потребности в заемных средствах.
Верхнюю границу потенциального развития предприятия определяет рентабельность собственных средств (Rcc):
Чистая прибыль
Rcc = -------------------- *100%
Собственный капитал
Если Rcc ровна 20% , то, отказавшись от использования средств на потребление и выплату дивидендов, можно увеличить собственные средства на 20% или, отказавшись от использования средств на накопление, направить все средства на потребление или выплату 20%-ных дивидендов.
В действительности приходится находить оптимальное соотношение между использованием средств на потребление (нормой распределения) и процентом увеличения собственных средств (внутренними темпами роста).
Для достижения высоких темпов роста оборота нужно повышать возможности увеличения рентабельности собственных средств предприятия.
Рентабельность собственных средств можно представить как отношение суммы средств, направляемых на накопление и потребление, к величине собственных средств.
Сумма средств, направляемых на накопление и потребление, представляет собой сумму чистой прибыли, которая образуется предприятия после уплаты налога на прибыль и финансовых издержек:
|
|
где Фн — фонд накопления;
Фп - фонд потребления;
СК - собственный капитал.
Отношение фонда накопления к величине собственного капитала определяет внутренние темпы роста, т.е. темпы увеличения активов. Теоретически при неизменном значении коэффициента оборачиваемости капитала прирост объема реализации продукции равен внутренним темпам роста.
Отношение фонда потребления к размеру собственного капитала составляет уровень потребления.
Если представить фонд потребления как произведение чистой прибыли и нормы распределения прибыли, рентабельность собственных средств может быть рассчитана так:
где HP- норма распределения прибыли; ВТР - внутренние темпы роста. Отсюда ВТР = Rcc (1-НР).
В тоже время рентабельность собственных средств может быть выражена через эффект финансового рычага:
Rcc = 2/3 Rэ + ЭФР
где Кэ - экономическая рентабельность;
ЭФР — эффект финансового рычага.
Эффект финансового рычага - это приращение к рентабельности собственных средств, получаемое благодаря использованию заемных средств, несмотря на их платность.
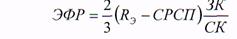
Эффект финансового рычага (финансовый леверидж) определяется по формуле:
где СРСП - средняя ставка ссудного процента;
ЗК - заемный капитал;
СК -собственный капитал.
Формула определения эффекта финансового рычага выводится из определения экономической рентабельности ( или рентабельности актива):
|
|
Где СРСП *ЗК - сумма процентов по заемным средствам ( или финансовые издержки).
Чистую прибыль (Пч) из формулы можно определить так:
Данное выражение подставим в формулу рентабельности собственных средств:
Если экономическая рентабельность рассчитывается по балансовой прибыли, то рассчитанный эффект уменьшается на размер налога на прибыль, составляющий в среднем 1/3 балансовой прибыли.
Финансовый рычаг показывает влияние финансовых издержек, связанных с заимствованием капитала, на величину чистой прибыли. Если он является величиной положительной, то увеличение рентабельность собственных средств. Положительным финансовый рычаг будет при условии, если экономическая рентабельность капитала выше ставки ссудного процента. В рыночной экономике ставка ссудного процента определяется, кроме всех прочих условий, размером заемного капитала: чем выше размер заемного капитала в структуре источников средств предприятия, тем выше ставка ссудного процента и тем ниже величина чистой прибыли и соответственно рентабельность собственных средств. Использование чистой прибыли на потребление увеличивает потребности предприятия в заемном капитале. При высокой цене ресурсов и низкой рентабельности активов это приводит к отрицательному эффекту финансового рычага и снижению рентабельности собственных средств, ограничивает внутренние темпы роста предприятия.
