Динамические модели макроэкономики Трехсекторная модель
(11)
Материальный баланс как уравнение связи между
,
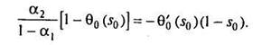
при использовании (10) принимает вид
(12)
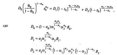
Таким образом, любое стационарное сбалансированное состояние трехсекторной экономики – это некоторая точка (
,
) в шестимерном пространстве, координаты которой удовлетворяют трем натуральным балансам (11). Все множество таких точек – это трехмерное многообразие в шестимерном пространстве, определяемое (11).
Возникает вопрос: как наилучшим образом распорядиться трудом и инвестициями? Для большинства стран с замкнутой и развивающейся экономикой задача ставится так: добиться улучшения благосостояния всего населения. При примерном постоянстве доли занятых в общей численности населения это означает необходимость максимизировать производство предметов потребления на одного занятого в материальном производстве.
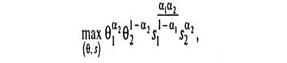
Таким образом, приходим к следующей оптимизационной задаче:
(13)
при условии, что компоненты
связаны соотношениями (11). Решение этой задачи
и определит «золотое» правило распределения труда и инвестиций между секторами.
Задачу (13) будем решать в два приема: вначале найдем максимум удельного потребления при фиксированных
, не проверяя при этом выполнение материального баланса, а затем вариацией
добьемся выполнения баланса и выйдем на глобальный максимум.
Максимум функции (13) при условии
достигается для следующих значений управляющих параметров:
(14)
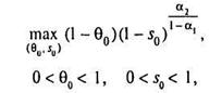
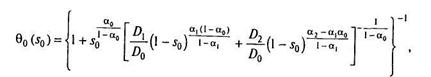
На втором этапе надо найти
(15)
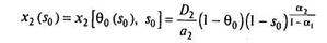
Для решения этой задачи вначале разрешим уравнение материального баланса относительно
:
при этом
достигает своего максимального значения в единственной точке
, определяемой из уравнения
(16)
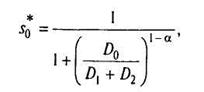
Таким образом, находим точку глобального максимума
(17)
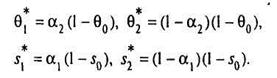
Например, если бы секторы находились на одинаковом уровне технологического развития, т.е.
, то уравнение (16) имело бы следующее решение:
где
определены при
.
2.3. Цены и налоги в трехсекторной экономике
Независимо от того, линейна или нелинейна трехсекторная модель, условия сбалансированности доходов и расходов каждого сектора в любой момент t записываются следующим образом (без явного учета налогов):
(13)
где
- соответственно цена продукции и ставка заработной платы в j – м секторе, j=0, 1, 2. Если разделить левые и правые части равенств на L, то уравнения (13) примут вид
(14)
Уравнения (13), (14) по-прежнему будут выполняться, если цены и ставки заработной платы изменить в одинаковой пропорции.
Если сложить все уравнения (13), то получим стоимостный баланс производства и расхода предметов потребления
(15)
или в относительной форме
(16)
Таким образом, для определения шести переменных
имеем только три уравнения. Следовательно, какие-то три из этих переменных можно считать свободными. Если принять свободными ставки заработной платы, то цены следующим образом выразятся через них
(17)
где
- доля материального сектора в расходе товарной продукции фондосоздающего сектора;
- доля фондосоздающего сектора в расходе товарной продукции материального сектора.
Итак, цена продукции равна отношению стоимости полных затрат труда на всю продукцию к чистой товарной продукции сектора. Образование чистой товарной продукции материального и фондосоздающего секторов можно проследить на рис. 4 (Приложение 1)
. Например, товарная продукция материального сектора, поступающая в объеме
в фондосоздающий сектор, возвращается в материальный сектор в объеме
через продукцию фондосоздающего сектора в объеме
.
Введем теперь в явном виде налоги. Основной принцип взимания налогов с производителей – с объемов производства. Если обозначить ставку налога с единицы продукции j –го сектора через tj, то уравнения для цен примут форму
(18)
а их решения будут иметь вид
Если сложить уравнения (18), то получим баланс платежеспособного спроса и предложения
где первое слагаемое в правой части – совокупный доход работников материальной сферы, второе – совокупный доход «бюджетников» (пенсии, пособия, зарплата лиц, занятых в непроизводственной сфере).
Для того чтобы обеспечить регулируемую миграцию трудовых ресурсов в направлении оптимального распределения труда, целесообразно следующим образом управлять ставками заработной платы:
