Заемные источники финансирования предпринимательской деятельности
.
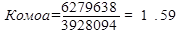
Коэффициент оборачиваемости кредиторской задолженности -показывает количество оборотов кредиторской задолженности.
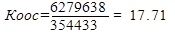
Коэффициент оборачиваемости оборотных активов - показывает количество оборотов всех оборотных активов за период.
Фондоотдача - показывает эффективность использования основных средств числом его оборотов за анализируемый период времени или размером выручки, приходящейся на один рубль основных средств.
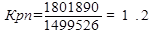
Срок оборачиваемости средств в расчетах (дебиторской задолженности) - показывает средний срок погашения дебиторской задолженности.
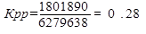
Срок оборачиваемости кредиторской задолженности - показывает средний срок погашения кредиторской задолженности
3.4. Показатели рентабельности
При проведении финансового анализа важно знать насколько рентабельно предприятие, то есть насколько прибыльно использовались средства предприятия. Основной характеристикой «состояния здоровья» предприятия является рентабельность капитала, которая выражается следующими показателями:
Экономическая рентабельность
Этот показатель служит характеристикой эффективности использования всех активов, которыми обладает предприятие, и показывает, какой доход приходится на один рубль активов.
Рентабельность продаж
Коэффициент рентабельности реализации показывает, сколько прибыли приходится на единицу реализованной продукции
Рентабельности собственного капитала.
Данный показатель характеризует степень возмещения собственного капитала за анализируемый период, поэтому представляет интерес, прежде всего, для учредителей и других участников предприятия, а также для руководства, призванного наилучшим образом учитывать интересы учредителей и акционеров.
Рентабельность продукции
Этот коэффициент рентабельности продукции показывает, сколько прибыли от реализации приходится на 1 рубль затрат.
Рентабельность перманентного капитала
Этот коэффициент рентабельности перманентного капитала показывает эффективность использования капитала, вложенного в деятельность организации на длительный срок.
На основе рассчитанных коэффициентов можно сделать вывод, что предприятие обладает достаточной платежеспособностью, т.е. способно наличными денежными ресурсами своевременно погашать свои платежные обязательства. Следовательно, кредиторы и инвесторы могут быть уверены, что кредиты будут возвращены, а проценты по ним уплачены.
Заключение
В данной курсовой работе было изучено управление заемными средствами и проведен анализа финансово-хозяйственной деятельности предприятия.
Для исследования был выбран завод «Красного Сормово» занимающийся производством.
Важным является роль финансовых средств предприятий в обеспечении сбалансированности в народном хозяйстве между материальными и денежными фондами, предназначенными для целей потребления и накопления. Финансовые средства предприятий – это экономическая категория, особенность которой заключается в сфере ее действия и присущих ей функций, они являются важнейшей составной частью единой системы финансов государства, т.к. они обслуживают сферу материального производства, в которой создаются совокупный общественный продукт и национальный доход.
В настоящих условиях гарантией нормального процесса расширенного воспроизводства является финансирования капитальных вложений путём заимствования средств. Поиск эффективных направлений заимствования финансовых ресурсов и своевременное привлечение заемных средств становятся основными в управлении финансовыми средствами предприятия и одной из главных задач финансовых служб предприятия. Условиями, которые ставятся руководством предприятия перед финансовым менеджментом, являются привлечение дополнительные финансовых средств на выгодных условиях и инвестирование их с наибольшим эффектом.
Список литературы
1. Абрютина М.С. Грачев А.В. Анализ финансово-экономической деятельности предприятия. Учебно-практическое пособие, М.: «Дело и сервис», 1998.
2. Абчук В.А Менеджмент.Учебнрое пособие – 2-е издание – СПб: Изд-во Михайлова В.А ,2004.
3. Артеменко В. Г., Беллендир М. В. Финансовый анализ, М.: «ДИС», 1997
4. Балабанов И.Т. Основы финансового менеджмента. - М.Финансы и статистика, 1999
5. Басовский Х.Е Менеджмент: Учебное пособие – Москва: ИНФРА,2004
6. Вяткин В.Н. и др. Принятие финансовых решений в управлении бизнесом: концепции, задачи, ситуации: Учебник для вузов / Ин-т международного бизнеса и финансов; - М. - Екатеринбург: ЗАО "Издательский дом "ЯВА", 1998.
7. Джей К. Шим, Джоэл Г. Сигел Финансовый менеджмент. – М., 1997.
8. Ковалев В.В. Введение в финансовый менеджмент. - М.: Финансы и статистика, 2001
9. Любушин Н. П., Лещева В. Б., Дьякова В. Г. Анализ финансово-экономической деятельности предприятия: Учеб. пособие для вузов / Под ред. Проф. Н, П. Любушина. – М.: ЮНИТИ-ДАНА, 2003.
10. Макарьева В.И., Андреева Л.В. Анализ финансово-хозяйственной деятельности организации. – М.: Финансы и статистика, 2004
11. Савицкая Г.В. Анализ хозяйственной деятельности предприятия. ИП «Экоперспектива»:Москва, 1997
12. Сердюк В.Б. Финансовый менеджмент. Методика и опыт. – Самара. ДСМ, 2004
13. Финансовый менеджмент: Учебник для вузов / Под. ред. Н.Ф. Самсонова. - М.: ЮНИТИ-ДАНА, 2001.
14. Финансовый менеджмент: теория и практика Учебник / Под ред.Е.С. Стояновой. – 5-е изд., перераб. и доп. – М.: Изд-во «Перспектива», 2001.
