Своп как разновидность срочной сделки
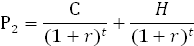
Чтобы определить стоимость облигации с плавающим купоном, для которой известен только плавающий процент для следующего платежа, можно рассуждать таким образом. Стоимость облигации с плавающей ставкой сразу после выплаты купона должна равняться номиналу (N). Поэтому цену облигации можно найти дисконтированием номинала и суммы будущего купонного платежа (С), (который нам известен из условий свопа, так как определяется в момент выплаты предыдущего купона), под плавающую ставку на время t, которое остается до выплаты купона. Сказанное можно записать следующим образом:
Оценку стоимости валютного свопа осуществляют аналогично оценке процентного свопа, но с учетом валютного курса:
Рсв = SРƒ – Рd
где: S — спотовый валютный курс, представленный на основе прямой котировки (т. е. количество единиц национальной валюты за единицу иностранной валюты);
Рƒ – цена облигации в иностранной валюте;
Рd – цена облигации в национальной валюте.
Для дисконтирования платежей по облигациям берут ставки для соответствующих периодов и валют.
9. Организация рынка свопов
Современное развитие финансового рынка связано как с совершенствованием уже известных, так и с возникновением новых финансовых инструментов. Такими инструментами являются свопы. История возникновения свопов прослеживается с 1960-х годов.
Валютные свопы возникли на основе параллельных кредитов и компенсационных займов, которые получили широкое развитие в Великобритании в 70-е годы. Они появились прежде всего с целью обойти валютный контроль, введенный Великобританией, чтобы препятствовать оттоку капитала из страны. Валютные ограничения главным образом представляли собой налоги на сделки с валютой, что стимулировало инвестирование фунтов в Англии и снижало заинтересованность в экспорте капитала.
Компенсационные займы предоставлялись двумя разнонациональными фирмами друг другу в их национальных валютах. Параллельные кредиты (parallel loans) состояли во взаимном предоставлении одной транснациональной корпорацией (ТНК) кредита филиалу другой. ТНК кредитовала в своей валюте филиал другой ТНК, который расположен в данной стране. Предоставленные кредиты согласовывались по времени и суммам. Кредиты погашались за счет доходов от операций в иностранной валюте, в связи с чем исчезала необходимость конвертации валют, и, таким образом, экономились средства, поскольку не взимался налог на конвертацию. Кроме того, в данном случае исключался риск изменения валютного курса. Следует отметить, что параллельные займы обычно включали условие о том, что в случае сильного обесценивания одной валюты в течение действия займа, заимодавец обесценившейся валюты должен был увеличить размер займа, чтобы уменьшить свой выигрыш.
Как таковой рынок свопов возник в 80-е годы. Начало ему положил валютный своп между компанией «IBM» и Мировым банком, заключенный в августе 1981 г. В тот момент компания «IBM» имела долговые обязательства в марках ФРГ и швейцарских франках. Банк эмитировал две еврооблигации со сроком погашения, аналогичными сроками погашения обязательств «IBM» в марках и франках, и обе стороны обменялись обязательствами. Банк оплатил номинал и процентные платежи по задолженностям «IBM», в свою очередь, «IBM» погасила обязательства Мирового банка. Первый процентный своп был осуществлен в 1982г.
Главными действующими лицами на рынке выступают сберегательные и страховые организации, которые действуют через посредников, т.е. через банки и финансовые компании. При зарождении данного рынка посреднические компании действовали главным образом как брокеры, в современных условиях они выступают в основном в качестве дилеров, т.е. являются стороной сделки в одном свопе и стороной сделки в офсетном свопе.
Рынок свопов – это внебиржевой рынок. Вторичный рынок развит еще слабо, поскольку большей частью свопы являются индивидуальными контрактами. Только порядка 5% свопов торгуются на вторичном рынке.
В то же время на практике наблюдается стремление к созданию более стандартных условий контрактов. Значительную роль в этом играет ISDA (International Swap Dealers Association) – Международная ассоциация дилеров по свопам, созданная в 1985 г. процентные свопы стали торговаться уже как стандартные финансовые инструменты.
10. Цели заключения свопов
Несовершенство рынков следует рассматривать в широком контексте. Оно может быть как результатом несовершенства внутренней структуры рынка, так и следствием, например, административно-регулирующих мер, принятых в той или иной стране, различий в валютном контроле и даже учетной практике, в оценке кредитного, процентного и валютного риска для разных сегментов рынка, в режимах, трансакционных издержках[13].
Свопы используются и для хеджирования рисков. Например, если компания ожидает повышения процентных ставок, то она может застраховаться путем обмена обязательств с плавающей ставкой на обязательства с твердой ставкой, валютные свопы хеджируют стороны от валютного риска.
Свопы можно использовать и для спекуляции, предполагая определенную динамику будущего движения процентных ставок или валютных курсов.
Свопы также позволяют увеличить доходность финансовых инструментов или создать новые финансовые инструменты. Например, предприятие может объединить краткосрочную задолженность и своп, в рамках которого оно получает платежи по плавающей ставке и платит фиксированный процент. В этом случае открывается возможность для получения дохода за счет спрэда между платежами по фиксированной и плавающей ставкам. Данная комбинация действительно окажется прибыльной, если предприятие ожидает своего кредитного рейтинга.
С общетеоретической точки зрения свопы ведут к интеграции различных рынков в рамках как национальной, так и интернациональной экономики.
Список использованных источников
1. Буренин А.Н. Рынки производных финансовых инструментов. – М.: ИНФРА-М, 1996. – 368 с.
2. Буренин А.Н. Рынок ценных бумаг и производных финансовых инструментов. – М.: 1 Федеративная Книготорговая Компания, 1998. – 352с.
3. Галанов В.А., Басов А.И. Рынок ценных бумаг. – М.: Финансы и Статистика, 2005. – 447 с.
4. Кузнецов Б.Т. Финансовый менеджмент. – М.: Юнити-Дана, 2005. – 415 с.
5. Пискулов Д. Ю. Теория и практика валютного дилинга. (Foreign Exchange and Money Market Operations). Прикладное пособие.— М.: ИНФРА-М, 1995.- 208 с.
6. Фельдман А.Б. Производные финансовые и товарные инструменты/ Учебник. – М.: «Изд-во «Экономика», 2008. – 468 с.
7. Пичугин И. Свопы на акции - перспективный продукт для доступа на фондовый рынок // Рынок ценных бумаг. – 2005. - №1.
8. Валютный рынок и валютные операции // Интернет-публикация. - http://market-pages.ru/valutn/16.html
9. Рынок ценных бумаг // Интернет-сайт. - http://www.rcb.ru/
10. Финансовые рынки и инструменты // Интернет-сайт. - http://www.fintools.ru/
11. Хеджинг без риска// Интернет сайт. - http://www.hedging.ru/
