Технико-экономический анализ хозяйственной деятельности
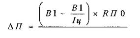
где RП0 - рентабельность продаж в базисном периоде;
ВО - выручка от реализации в базисном периоде.
∆П = 199 тыс.руб.
2. Расчет влияния фактора «Цена»:
∆П = 1,42 тыс.руб.
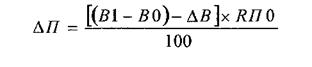
3. Расчет влияния фактора «Себестоимость реализации» (С):
где УС 1(0) - уровень себестоимости в отчетном (базисном) периоде. Отметим, что расходы - фактор обратного влияния по отношению к прибыли.
∆П = 190,4 тыс.руб.
4. Расчет влияния фактора «Коммерческие расходы» (КР).
Аналогично 3 шагу.
КР = 0 тыс. руб.
5. Расчет влияния фактора «Управленческие расходы» (УР).
Аналогично.
УР= 0 тыс. руб.
Остальные показатели-факторы от прочей и внереализационной деятельности не оказывают столь существенного влияния на прибыль как факторы хозяйственной сферы. Однако их влияние на сумму прибыли тоже можно определить. В данном случае используется метод балансовой увязки, поскольку факторная модель прибыли аддитивного типа.
Все показатели разделяются на факторы прямого и обратного влияния по отношению к прибыли. На какую величину изменяется показатель фактор, на такую же сумму изменяется прибыль.
Факторный анализ рентабельности представлен в программе в таблице 10.
На рентабельность продаж влияют те же факторы, которые влияют на прибыль от реализации. Порядок расчетов:
1. Влияние изменения выручки от реализации:
∆ RП = 54,85 %
2. Влияние изменения себестоимости реализации:
∆ RП = - 49,02 %
3. Влияние изменения коммерческих расходов:
∆ RП = 0 %
4. Влияние изменения управленческих расходов:
∆ RП = 0 %
5. Совокупное влияние факторов.
Сводная система показателей рентабельности представлена в программе в таблице. Отметим, что в России единственной базой для сравнения показателей рентабельности является показатели предыдущих периодов.
RП = 6,07 %
Рентабельность продаж отражает удельный вес прибыли в каждом рубле выручки от реализации.
К традиционным показателям прибыльности относятся : фондорентабельность (Фр), которая показывает эффективность использования основных активов, рентабельность основной деятельности (Код), которая показывает сколько прибыли от реализации приходится на 1 рубль затрат.
Фр (за отчетный период) = 271,23;
Фр (за прошлый период) = 125;
Rod (за отчетный период) = 6,74;
Rod (за прошлый период) = 0,48.
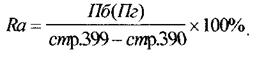
Более информативным является анализ рентабельности активов (Ra) и собственного капитала (К.ск). Ra является синтетическим показателем экономической деятельности организации в целом, поэтому его еще называют экономической рентабельностью.
Ra (за отчетный период) = 14,88 %
Rа (за прошлый период) = 1,17 %
Это самый общий показатель, отвечающий на вопрос, сколько прибыли предприятие получает в расчете на рубль своего имущества. От его уровня зависит размер дивидендов на акции в акционерных обществах.
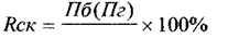
Показатель рентабельности собственного капитала (Rск) позволяет установить зависимость между величиной инвестируемых собственных ресурсов и размером прибыли, полученной от их использования. Динамика Rск оказывает влияние на уровень котировки акций.
стр.490
Rск (за отчетный период) = 170,69 %
Rск (за прошлый период) = 3,76 %
Рентабельность перманентного капитала показывает эффективность использования капитала, вложенного в деятельность организации на длительный срок
Rпк (за отчетный период) = 170,69 %
Rпк (за прошлый период) = 3,76 %
Значения данного показателя совпадают со значениями показателя рентабельности собственного капитала.
Коэффициент устойчивости экономического роста показывает, какими темпами увеличивается собственный капитал за счет финансово-хозяйственной деятельности.
КУЭР (за отчетный период) = 1,71;
КУЭР (за прошлый период) = 0,04.
Период окупаемости собственного капитала показывает число лет, в течение которых полностью окупятся вложения в данную организацию:
ПОск (за отчетный период) = 0,59;
ПОск (за прошлый период) = 23,20.
Анализ прочих операционных доходов и расходов; анализ прочих внереализационных доходов и расходов; анализ использования прибыли.
Операционные доходы и расходы отражают данные по операциям, связанным с движением имущества предприятия. При проведении анализа прочих операционных доходов и расходов используются данные формы №2 «Отчет о финансовых результатах», а также информация аналитического учета по счетам 47 «Реализация и выбытие основных средств», 48 «Реализация прочих активов», 80 «Прибыли и убытки».
В процессе анализа составляются аналитические таблицы динамики и структуры прочих операционных доходов и расходов, на основании которых делаются соответствующие выводы и рекомендации.
Прочие внереализационные доходы и расходы отражают различные доходы и расходы, не связанные с движением имущества предприятия. При проведении анализа прочих внереализационных доходов и расходов используются данные формы №2 «Отчет о финансовых результатах», а также информация аналитического учета по счету 80 «Прибыли и убытки».
В процессе анализа составляются аналитические таблицы динамики и структуры прочих внереализационных доходов и расходов, на основании которых делаются соответствующие выводы и рекомендации.
Анализ использования прибыли проводится с привлечением формы №2 «Отчет о финансовых результатах», а также информация аналитического учета по счетам 81 «Использование прибыли», 88 «Нераспределенная прибыль (непокрытый убыток)» и сметы по фонду накопления, фонду социальной сферы и фонду потребления.
Для анализа использования прибыли составляется аналитическая таблица, данные которой позволяют определить динамику распределения прибыли между бюджетом и предприятием. Кроме того, она должна содержать анализ структуры использования прибыли, на основании которого можно определить основные ее тенденции.
