Факторный анализ производственно-хозяйственной деятельности фирмы
Таким образом, получаем смешанную модель типа:
у = х1(х2 + х3 + х4 + х5) х6.
1) Удельный вес материальных затрат (УМЗ/с/с) = Материальные затраты/ Себестоимость
х20 =1200/2680=0,448 х21 = 1220/2720=0,449
2) Удельный вес амортизации (УА/с/с) = Сумма амортизации/ Себестоимость
х30 = 365/2680=0,13619 х31 = 375/2720=0,13787
3) Удельный вес затрат на оплату труда (У ФОТ/с/с) = Фонд оплаты труда/ Себестоимость
х40 = 900/2680=0,3358 х41 = 910/2720=0,3346
4) Удельный вес прочих затрат( У Пр/с/с) = Прочие затраты/ Себестоимость
х50= 215/2680=0,08022 х51= 215/2720=0,07904
5)Рентабельность затрат (R)= (Выручка – Себестоимость)/ Себестоимость
х60 = 3170-2680/2680=0,18284 х61 = 3180-2720/2720=0,16912
Δyx1 = (x11 – x10) (x20 + х30 + х40 + х50) х60
Δyx2 = x11 (x21+х30+ х40+ х50) х60 - x11 (x20+х30+ х40+ х50) х60
Δyx3 = x11 (x31 – x30) х60
Δyx4 = x11 (x41 – x40) х60
Δyx5 = x11 (x51 – x50) х60
Δyx6 = x11 (x21 + x31 + х41 + х51) (х61 – х60)
Вывод:
В отчетном периоде прибыль уменьшилась на 30 тыс. руб. Отрицательное влияние на результат оказали следующие факторы:
- уменьшение удельного веса затрат на оплату труда в себестоимости продукции привело к снижению прибыли 0,13%.
- уменьшение удельного веса прочих затрат в себестоимости продукции привело к уменьшению прибыли 0,13%;
- уменьшение рентабельности на 0,01372 тыс. руб. привело к уменьшению прибыли 7,99%;
- увеличение себестоимости продукции на 40 тыс. руб. привело к росту прибыли на 1,57%;
- увеличение удельного веса материальных затрат в себестоимости продукции привело к увеличению прибыли на 106,49%;
- увеличение удельного веса амортизации в себестоимости продукции привело к увеличению прибыли на 0,18%;
19. Определить влияние на изменение ресурсоотдачи следующих факторов: зарплатоотдачи, амортизациоотдачи основного капитала и материалоотдачи.
Исходные данные: объем продукции: фактический 3180 тыс. руб. и плановый = 3170 тыс. руб. ФОТ: фактический = 910 тыс. руб. и плановый = 900тыс. руб. Сумма амортизации: фактическая = 375 тыс. руб. и плановая = 365 тыс. руб. Материальные затраты: фактические = 1220 тыс. руб. и плановые = 1200 тыс. руб. Прочие расходы: фактические = 215 тыс. руб. и плановые = 215 тыс. руб.
Таблица 19
|
Показатели |
Усл. обзн. |
План |
Факт |
Отклонен |
Влияние | |
|
абсолютное |
уд.вес, % | |||||
|
Ро |
у |
1,18284 |
1,16981 |
-0,01303 |
Δyx |
100 |
|
Зо |
x1 |
3,52 |
3,494505 |
-0,025495 |
-0,0031421 |
22,905347 |
|
Ао |
x2 |
8,68 |
8,48 |
-0,2 |
-0,003859 |
28,136196 |
|
Мо |
x3 |
2,64 |
2,61 |
-0,03 |
-0,0070076 |
51,082993 |
|
Про |
x4 |
14,74419 |
14,7907 |
0,4651 |
0,000291447 |
-2,1245352 |
|
1 | ||||||||
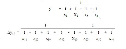
|
Ресурсоотдача |
= |
1 |
+ |
1 |
+ |
1 |
+ |
1 |
|
Зарплатоотдача |
Материалоотдача |
АМОотдача |
Прочеотдача | |||||
Ресурсоотдача = Объем продукции/Себестоимость
Роп=3170/2680=1,18284 Роф=3180/2720=1,16981
|
Зарплатоотдача (Зо) |
= |
Объем продукции |
|
Фонд оплаты труда |
х10 =3170/900=3,52 х11 =3180/910=3,494505
|
Амортизациоотдача (Ао) |
= |
Объем продукции |
|
Сумма амортизации |
х20= 3170/365=8,68 х21= 3180/375=8,48
|
Материалоотдача (Мо) |
= |
Объем продукции |
|
Материальные затраты |
х30= 3170/1200=2,64 х31= 3180/1220=2,61
|
Прочеотдача (Про) |
= |
Объем продукции |
|
Прочие затраты |
х40= 3170/215=14,74419 х41= 3180/215=14,7907
Таким образом, получаем смешанную модель вида:
Аналогичным образом, считаем остальные показатели по формулам:
Вывод:
В отчетном периоде ресурсоотдача незначительно уменьшилась. Влияние на изменение ресурсоотдачи оказало увеличение зарплатоотдачи на 0,02. При этом показатель Ро увеличился на 22,9%.
