Финансовое планирование. Необходимость и задачи финансового планирования
Под финансовым планом понимается систематический учет и сопоставление ожидаемых в течение определенного периода времени поступлений и выплат, а также вытекающие из них необходимые распоряжения финансовыми средствами. Величины платежей входят в финансовый план, который, в зависимости от вида, может состоять из плана поступлений, плана выплат и плана распоряжений (привлечение дополнительных средств или рентабельные вложения).
Основой ориентированного на платежи финансового планирования являются поступления и расходы как отражение производственно-хозяйственных процессов рассматриваемого периода. Исходя из запасов платежных средств на начало периода, можно вывести состояние (платежеспособности) на конец нового периода. Такое финансовое планирование в принципе имеет следующую основную структуру (рис. )
Характерными признаками такого плана являются, с одной стороны, запасы платежных средств, а с другой — движение платежей. Платежеспособность на определенный момент времени определяется как сумма денежных средств в кассе, денежных средств на счетах, а также из предоставленных, но еще не полученных кредитных средств.
|
Период планирования (день, неделя, месяц) Статьи: |
I |
II |
III |
IV |
V |
|
1. Платежные средства на начало периода (платежеспособность) (излишек/дефицит) |
15 |
20 | |||
|
План поступлений из … 2. Сумма плана расходов |
30 | ||||
|
План расходов для … 3. Сумма плана расходов |
25 | ||||
|
4. Запас платежных средств на конец периода (излишек/дефицит средств) 1+2-3 |
20 |
Рис. 10.16. Основная структура финансовых планов
Для планирования платежей и определения ликвидности интерес представляют только ожидаемые выплаты и поступления в определенном размере и к определенному моменту времени. Дисконтирование поступлений и выплат позволит сделать эти величины сравнимыми для будущих периодов. Но поскольку прогнозировать потоки платежей (выплаты/поступления) трудно из-за неполной информации, то и финансовое равновесие можно определить с некоторым риском. Возможность риска и предполагает определение ликвидных резервов.
Исходя из приведенной основной структуры финансового плана, можно структурировать движение запланированных платежей по различным критериям. На рис. 10.17 приведена одна из возможных структур движения платежей.
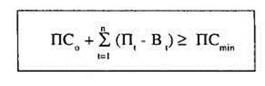
С помощью такого финансового плана можно выявлять узкие места с ликвидностью и излишки платежных средств. Принцип краткосрочного финансового планирования можно представить в виде следующего соотношения:
![]() |
Псо - запас платежных средств на начало планируемого периода
Ц - поступления платежей в течение периода t
В, - выплаты в течение периода t
ПСшш - запланированный запас платежных средств для обеспечения гарантии
Такое финансовое равновесие должно сохраняться для всех последующих периодов планирования. При сопоставлении потоков платежей выявляют вероятную потребность в финансовых средствах или их излишек. Покрытие этой потребности, либо рентабельные вложения излишков, требует принятии определенных решений.
Источниками информации для составления движения платежей служат прогнозные данные аналитического учета и данные отдела сбыта, производства, снабжения и т.д. Критическим потоком платежей являются посту! i гения из оборота (от реализации продукции), поскольку они составляют основную долю всех поступлений, но подвержены колебаниям. Менее проблематичными являются фиксированные выплаты за сырье и материалы, заработной платы, процентов, погашение кредитов и др. Такие выплаты и их время известны достаточно точно.
|
Рис. 10.17. Структура платежей
Дефицит финансовых средств
В краткосрочном периоде финансовый план служит для гарантии ликвидности. Он показывает излишек или недостаток платежей с учетом запасов платежных средств.
Выявленный с помощью финансового плана дефицит платежных средств по своей природе может быть либо временным, либо носить структурный характер. Временный дефицит платежных средств может возникать в определенные периоды времени, но он не мешает в целом достигать финансового равновесия (см. рис. 10.18 ).
|
январь |
февраль |
март |
апрель |
май |
июнь |
июль | |
|
Платежные средства на начало периода |
100 |
100 |
-100 |
-100 |
0 |
100 |
200 |
|
Поступления |
200 |
200 |
200 |
200 |
200 |
200 |
200 |
|
Выплаты |
200 |
400 |
200 |
100 |
100 |
100 |
100 |
|
Платежные средства на конец периода |
100 |
-100 |
-100 |
0 |
100 |
200 |
300 |

