Операции с валютными ценностямиРефераты >> Банковское дело >> Операции с валютными ценностями
Таблица 14 - Показатели эффективности операций КБ "Дельта", тыс. грн.
|
Показатели |
фев.08 |
мар.08 |
апр.08 |
Ср.абс прирост |
|
сумма |
сумма |
сумма | ||
|
1. Общий доход банка |
175095,36 |
241124,27 |
166550,96 |
-4272,20 |
|
2. Общий расход банка |
613,12 |
643,991 |
581,23 |
-15,95 |
|
3. Прибыль банка |
174482,24 |
240480,28 |
165969,73 |
-4256,26 |
Таблица 15 - Доли доходов, расходов и прибыли по валютным операциям в соответствующих общих суммах по всем операциям КБ "Дельта"
|
Показатели |
мар.08 |
апр.08 |
Ср.абс прирост |
Ср.темп роста ,% |
|
сумма |
сумма | |||
|
1. Доходы по валютным операциям банка, тыс. грн. |
239955,27 |
165136,66 |
-4308,05 |
97,49 |
|
2. Общая сумма доходов банка, тыс. грн. |
241124,27 |
166550,96 |
-4272,20 |
97,53 |
|
3. Доля доходов по валютным операциям в общей сумме доходов банка,% |
99,52 |
99,15 |
-0,04 |
99,96 |
|
4. Расходы по валютным операциям банка, тыс. грн. |
37,39 |
32,84 |
-3,24 |
91,39 |
|
5. Общая сумма расходов банка, тыс. грн. |
643,99 |
581,23 |
-15,95 |
97,36 |
|
6. Доля расходов по валютным операциям в общей сумме расходов банка,% |
5,81 |
5,65 |
-0,38 |
93,86 |
|
7. Прибыль по валютным операциям банка, тыс. грн. |
239917,88 |
165103,82 |
-4304,81 |
97,49 |
|
8. Общая сумма прибыли банка, тыс. грн. |
240480,28 |
165969,73 |
-4256,26 |
97,53 |
|
9. Доля прибыли по валютным операциям в общей сумме прибыли банка,% |
99,77 |
99,48 |
-0,04 |
99,96 |
Часть 3
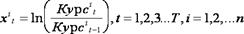
I. На основе данных о курсах валют производим расчёт логарифмов ежедневных темпов роста.
Логарифм темпа роста курса i-ой валюты в момент t измерения
рассчитывается по формуле:
где Курсit — значение курса i-ой валюты в t измерении;
Курсit-1 — значение курса i-ой валюты в t-1 измерении;
T — общее число измерений логарифмов темпов роста курсов;
i- индекс, обозначающий валюту;
n — число валют.
Таблица 1 - Логарифмы темпов роста валют.
|
Дата измерения |
USD |
EUR |
RUR |
|
11.02-20.02 |
-0,001982161 |
0,010075652 |
0,01519017 |
|
21.02-15.03 |
0,003960401 |
0,00500001 |
0,01990115 |
|
16.03.-31.03 |
0,009832921 |
0 |
-0,00990107 |
|
01.04-30.04 |
0,001955035 |
0,00621506 |
0,00496279 |
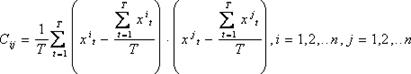
II. 1. Расчёт ковариационной матрицы и волатильностей.
Упрощённый расчёт ковариации случайных величин и можно провести по формуле:
Таблица 2 - Ковариационная матрица
|
Название валют |
USD |
EUR |
RUR |
|
USD |
0,000018186 |
-0,000015322 |
-0,000035679 |
|
EUR |
-0,000015322 |
0,000012955 |
0,000030726 |
|
RUR |
-0,000035679 |
0,000030726 |
0,000130539 |
