Рейтинговая оценка деятельности коммерческого банкаРефераты >> Банковское дело >> Рейтинговая оценка деятельности коммерческого банка
За последние годы в журналах «Коммерсант-Деньги», «Профиль», «Финансы и Кредит» появились попытки получения количественных рейтингов КБ, однако при их анализе можно заметить, что либо метод получения количественных оценок не приводится вообще, либо эти оценки откровенно некорректны, либо они снова замешаны на эвристике.
Бесспорно, наиболее точными являются количественные рейтинги КБ и РБС, получаемые на основе математических методов.
2.2 Описание исходных статистических данных и результатов их обработки
В данной статье использованы статистические данные о 300 самых крупных российских КБ. Указанные данные опубликованы в журнале «Профиль», № 4, 2002 по состоянию на 1 декабря 2001г. Ввиду того, что эти статистические данные приведены в тыс. рублей, соответствующие цифры имеют до 9 разрядов. Поэтому для снижения масштабов программных расчетов все исходные статистические данные были переведены в долларах США по курсу 31,2 руб. за 1 доллар. Следует также отметить, что капиталы 75 из 300 КБ приведены с учетом субординированного кредита. И, наконец, в 300 КБ включено несколько КБ с иностранным капиталом, действующих на территории России.
Результаты обработки описанных статистических данных приведены в таблице 2.1
Таблица 2.1 - Результаты обработки описанных статистических данных
|
Статистические характеристикиПоказатели КБ |
Общая сумма показателей КБ,млн. долл. |
Показатель СБР,млн. долл. |
Ошибка оценки показателя СБР,млн. долл. |
|
Капитал |
13 908,539 |
46,362 |
12,233 |
|
Работающие активы |
60 708,608 |
202,362 |
76,099 |
|
Ликвидные активы |
8 633,986 |
28,780 |
8,447 |
|
Обязательства до востребования |
44 703,655 |
149,012 |
68,625 |
|
Суммарные обязательства |
62 836,715 |
209,456 |
79,111 |
|
Защита капитала |
2 907,717 |
9,692 |
6,260 |
|
Уставной фонд |
6 978,691 |
23,262 |
5,547 |
|
Суммарные активы |
77 796,050 |
259,320 |
90,350 |
|
Прибыль |
1 826,533 |
6,088 |
2,548 |
|
Привлеченные средства других КБ |
7 890,639 |
26,302 |
5,511 |
В первом столбце таблицы приведены общие суммы соответствующих показателей 300 КБ. Во втором столбце приведены средние арифметические значения соответствующих показателей КБ, которые, в свою очередь, являются показателями среднего банка России (СБР), характеризующего собой РБС в целом. В третьем столбце представлены ошибки оценки средних арифметических значений, т.е. ошибки оценки показателей СБР.
Данная выборка из 300 самых крупных российских КБ является системообразующим ядром РБС, и характеристики этого ядра, в соответствии с положениями выборочной теории, можно распространить на всю РБС. Так, учитывая что все показатели КБ в составе РБС имеют распределение Гаусса (Hauss) и это проверено по критериям согласия, можно утверждать следующее:
• если взять значение какого-то показателя СБР в пределах плюс-минус одного среднеквадратического отклонения (СКО), то этот показатель будет верен для 68% банков РБС;
• если взять значение показателя СБР в пределах плюс-минус два СКО, то этот показатель будет верен для 95% банков РБС;
• если же взять значение показателя СБР в пределах плюс-минус три СКО, то этот показатель будет верен для более, чем 99% банков РБС.
В целом, в каждый момент РБС представляет собой изменяющуюся во времени генеральную совокупность рейтингов КБ как реализаций случайных процессов, происходящих в банках этой РБС. Эта генеральная совокупность имеет свои статистические характеристики, в т. ч. центр группирования (среднее арифметическое), рассеяние (дисперсия, СКО, коэффициент вариации), закон распределения и др.
2.3 Разработка математической модели
Разработку математической модели оценки рейтингов КБ и РБС целесообразно начать с выбора коэффициентов, всесторонне характеризующих как каждый КБ, так и РБС в целом. В настоящее время существует достаточно много показателей КБ, опубликованных, например, в работах. C учетом существующей практики оценки экономического состояния КБ с помощью коэффициентов выберем для математической модели оценки рейтингов КБ и РБС следующие коэффициенты.
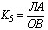
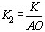
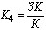
Коэффициенты достаточности капитала
— показывает, насколько вложения КБ в работающие активы (Ар) защищены собственным капиталом КБ (К), которым будут погашаться возможные убытки в случае невозврата или возврата в обесцененном виде того или иного работающего актива.
— показывает отношение капитала КБ к суммарным обязательствам (СО), — т. е. масштаб осуществляемых КБ операций.
— показывает, какая часть собственного капитала КБ сформирована за счет прибыли, т. е. за счет деятельности самого КБ (УФ — уставной фонд).
— показывает, насколько КБ учитывает инфляционные процессы и какую долю своих активов размещает в недвижимости, ценностях, оборудовании (ЗК — защищенный капитал).
Коэффициенты ликвидности КБ
— коэффициент мгновенной ликвидности показывает, насколько КБ использует клиентские деньги в качестве собственных кредитных ресурсов (ЛА — ликвидные активы, ОВ — обязательства до востребования).
