Современный этап развития рынка ценных бумаг в России и задачи регулированияРефераты >> Банковское дело >> Современный этап развития рынка ценных бумаг в России и задачи регулирования
Другие соображения, связанные с обращением на рынке
При наличии ограничений в отношении покупки акций нерезидентами на внутреннем рынке это может привести к появлению приемлемых расхождений по двум типам акций. Кроме того, в краткосрочном плане может существовать разница во времени выплаты дивидендов. Следовательно, нужно всегда проверять, в одинаковой ли форме обращаются обе ценные бумаги (т. е. обе, включая дивиденды или исключая дивиденды). Очевидно, что совершение арбитражных сделок в данном случае зависит от физической и технической возможности совершения короткой продажи по меньшей мере на одном из рынков. Помимо этого, следует помнить, что средства, требуемые для покупки, влекут за собой процентные затраты, а выручка от продажи, возможно, потребует маржинального покрытия.
ФЬЮЧЕРСЫ
Поскольку фьючерсный контракт — это обязательство на совершение или принятие поставки базового инструмента в дату окончания срока действия или до нее, всегда существует финансовое соотношение между ценой фьючерса и ценой наличного инструмента. Это неизбежно означает, что независимо от реального соотношения в течение срока действия фьючерсного контракта его цена должна слиться с ценой базового актива в дату окончания действия фьючерса.
По сути, фьючерсная цена определяется исходя из текущей рыночной цены базового инструмента, процентных ставок (поскольку этот инструмент связан с заемными средствами) [затраты хранение, страховку и транспортировку — для товарных фьючерсов] и любого дохода, не полученного из-за отсутствия позиции по наличному инструменту. Теоретически правильной будет та фьючерсная цена, в которой нет финансовой разницы (т. е. нет возможности арбитража) между покупкой (или короткой продажей) базового инструмента и короткой продажей (или покупкой) фьючерса.
Реальность не допускает такой идеальной рыночной цены (даже если бы все мнения об изменении цен совпадали), поскольку экономия за счет масштаба производства, различия в налогообложении и местоположении приводят к различию финансовых и других затрат у разных пользователей.
Простой расчет фьючерсной цены — это цена базового инструмента плюс проценты, сэкономленные за срок действия фьючерса.
Например, если цена базового инструмента — 100, а процентная ставка — 10°о годовых, цена трехмесячного фьючерсного контракта равна:
Таким образом, фьючерсная цена 102,5 полностью равноценна уплате цены 100 за наличный инструмент, т. е. вместо того, чтобы заплатить за наличный продукт сейчас, инвестор может приобрести продукт с расчетом через три месяца и, следовательно, сможет получить 10% по этим средствам за 3 месяца.
Примечание: В этом простом примере предполагается, что не существует никаких затрат на заключение сделок или других расходов, связанных с наличным инструментом, или неполученных поступлений или требований по марже.
Структура цены товарного фьючерса должна определяться с учетом издержек, связанных с физическим товаром и может быть рассчитана следующим образом.
Например, если цена наличного инструмента равна 100, преобладающая процентная ставка 10% годовых, а расходы на хранение, страховку и транспортировку составляют 6°о годовых, то цена трехмесячного фьючерса равна:
Стоимость базового актива 100,00
Затраты на финансирование 10% х 3 месяца 2,50
Хранение, страховка и т.д. 6% х 3 месяца 1,50
104,00
Итак, справедливая цена фьючерса на этот товар (т. е. без возможности арбитража) на три месяца составит 104,00 при наличной цене 100.
Примечание: Опять же в этом примере не учитываются расходы на заключение сделок или на маржу.
Для финансового фьючерсного контракта не будет не только затрат на хранение, страховку или транспортировку, но во многих случаях, сама инвестиция будет приносить доход (т. е. проценты или дивиденды). Следовательно, это должно быть отражено в расчете справедливой фьючерсной цены.
В случае валютного фьючерса по обоим инструментам существует возможность получения процентов по наличному активу.
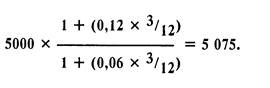
Например, если курс рубля по отношению к доллару США составляет 5000:1, процентная ставка по рублевым вкладам — 12% годовых, а проценты по валютным вкладам в долларах — 6% годовых, то цена трехмесячного фьючерса равна:
Итак, поскольку по рублевым средствам в течение 3 месяцев фактически начисляется 3%, а по долларовым — только 1,5% за тот же период, фьючерсная цена сохранит равновесие при увеличении курса доллара на 75 рублей (т. е. на разницу в 1,5% не в пользу доллара).
Фьючерс на индекс фондового рынка также получает преимущество от сэкономленных процентов, но при этом не дает возможности получить дивиденды, выплачиваемые по самым ценным бумагам. Справедливая цена фьючерса на индекс фондового рынка может быть рассчитана следующим образом.
Например, если индекс равен 1000, преобладающая процентная ставка 10°о годовых, а дивиденды по акциям — 4°о годовых, то цена трехмесячного фьючерса равна:
Таким образом, фьючерсная цена 1015 теряет дополнительные 15, заработанные как дополнительный доход за трехмесячный период к тому моменту, как она сближается с ценой наличного индекса в срок окончания действия контракта. Следовательно, не существует возможности арбитража между вложением 1000 в реальные ценные бумаги и уплатой 1015 за фьючерсный контракт.
ОПЦИОНЫ
Опционы — гораздо более сложные инструменты для оценки, чем фьючерсы. В задачи данного пособия не входит подробное разъяснение вычислений, используемых в расчетных моделях. Важно усвоить, что существует четыре фактора (а для опционов на акции и облигации пять факторов), лежащих в основе цены опционов, а именно:
• процентные ставки (где можно получить доход от неиспользованных средств, вместо покупки базового инструмента);
• дивиденды (где нет возможности получить дивиденды или проценты по базовому активу — это пятый фактор);
• внутренняя стоимость (разъясняется ниже);
• время до окончания действия (чем больше времени остается до окончания срока действия опциона, тем больше возможности того, что он наберет внутреннюю стоимость);
• изменчивость базового актива (где она является мерой того, как быстро повышается и снижается цена базового актива и частоты таких изменений).
Внутренняя стоимость
Ценой опциона называется премия по нему, состоящая из двух частей, а именно: внутренней стоимости и временной стоимости. Внутренняя стоимость представляет собой любую реальную стоимость (т. е. если бы опцион был исполнен сегодня, это был бы размер прибыли от разницы между ценой страйк, или исполнения опциона и рыночной ценой базовой ценной бумаги), включенную в премию по опциону. Эта величина может быть определена путем вычета цены исполнения из цены базового актива для опциона колл и вычета цены базового актива из цены исполнения для опциона пут.
Значение индекса (на начало периода) 1000
Заработанные проценты 10% х 3 месяца 25
