Статистические методы анализа результатов деятельности коммерческих банковРефераты >> Банковское дело >> Статистические методы анализа результатов деятельности коммерческих банков
(8207-3233,69)²* 2 = 49467624,72
139257376,16
= 139257376,16/36 = 3868260,45
δ = ± 1966,79 млн. руб.
Рассчитываем коэффициент корреляции:
V = δ*100/х = 1966,79*100/3233,69 = 60,82 %
Коэффициент корреляции равен 60,82 % говорит о том, что ряд распределения банков по стоимости вложения средств в ценные бумаги не однороден, так как превышает 33 %, а средняя стоимость вложений средств в ценные бумаги равна 3233,69 млн. руб. типична и надежна для данного ряда распределения. Колеблемость в ряду распределения значительна, так как превышает 60 %.
Рассчитаем моду и медиану для интервального ряда.
Мо = 2047+1760*(14-10) / (14-10)+(14-7) = 2047+1760+7 = 3814,00 млн. руб.
Наибольшее число банков имеет среднегодовое вложение средств в ценные бумаги 3814,00 млн. руб.
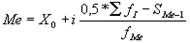
Ме = 2047+1760*(36/2-10)/14 = 3052,71 млн. руб.
Вывод: медиана равна 3052,71 млн. руб. говорит о том, что половина банков имеет стоимость вложения средств в ценные бумаги до 3052,71 млн. руб., а остальные – более 3814,00 млн. руб.
Задание № 2
1) Строим аналитическую группировку на основании разработочной таблицы
Таблица 3
Группировка банков по стоимости вложений средств в ценные бумаги
|
№ п/п |
Группы банков по стоимости вложений в ценные бумаги, млн. руб. |
Количество банков |
Стоимость вложений в ценные бумаги, млн. руб. |
Прибыль банков, млн. руб. | ||
|
всего |
В 1 банке |
всего |
В 1 банке | |||
|
А |
1 |
2 |
3 |
4 |
5 | |
|
1 |
287-2047 |
10 |
10935 |
1093,50 |
1379 |
137,90 |
|
2 |
2047-3807 |
14 |
36311 |
2593,64 |
3150 |
225,00 |
|
3 |
3807-5567 |
7 |
30346 |
4335,14 |
1616 |
230,86 |
|
4 |
5567-7327 |
3 |
21718 |
7239,33 |
1062 |
354,00 |
|
5 |
7327 и выше |
2 |
17103 |
8551,50 |
880 |
440,00 |
|
Итого |
36 |
116413 |
3233,69 |
8087 |
224,64 | |
Из данных таблицы 2 следует, что с увеличением вложений средств в ценные бумаги от 1 к 5 группе в среднем на 1 банк увеличивается и прибыль. Это свидетельствует о наличии прямой связи между вложением средств в ценные бумаги и прибылью банков.
Вложения в ценные бумаги 5 группы по отношению к 1 группе в расчете на 1 банк составляет 7,89 раза, а прибыль на 1 банк в 5 группе больше чем в 1 в 3,19 раза. Разные темпы роста этих показателей свидетельствуют о наличии корреляционной зависимости между вложениями и прибылью – прямая корреляционная связь.
На основании данных аналитической группировки делается расчет показателей тесноты связей.
Расчет коэффициента детерминации:
η2 = δ2 /σ2 = 6068,69/27450,56 = 0,22
Рассчитаем дисперсию, делаем по результативному признаку – прибыль
δ2 = ∑(у –у)2f /∑f = ((137,90-224,64)²*10+(225-224,64)²*14+(230,86-224,64)²*7+(354-224,64)²*3+(440-224,64)²*2)/36 = 6068,69
Делаем разработочную таблицу, где у – это сумма прибыли в каждом банке
Таблица 2
Разработочная таблица
|
№ п/п |
Прибыль млн. руб., у |
у2 |
|
1 |
110 |
12100 |
|
2 |
538 |
289444 |
|
3 |
85 |
7225 |
|
4 |
60 |
3600 |
|
5 |
39 |
1521 |
|
6 |
153 |
23409 |
|
7 |
215 |
46225 |
|
8 |
224 |
50176 |
|
9 |
203 |
41209 |
|
10 |
64 |
4096 |
|
11 |
11 |
121 |
|
12 |
153 |
23409 |
|
13 |
121 |
14641 |
|
14 |
94 |
8836 |
|
15 |
105 |
11025 |
|
16 |
93 |
8649 |
|
17 |
329 |
108241 |
|
18 |
451 |
203401 |
|
19 |
439 |
192721 |
|
20 |
441 |
194481 |
|
21 |
237 |
56169 |
|
22 |
282 |
79524 |
|
23 |
191 |
17381 |
|
24 |
201 |
40401 |
|
25 |
12 |
144 |
|
26 |
77 |
5929 |
|
27 |
282 |
79524 |
|
28 |
451 |
203401 |
|
29 |
50 |
2500 |
|
30 |
306 |
93636 |
|
31 |
440 |
193600 |
|
32 |
204 |
41616 |
|
33 |
63 |
3969 |
|
34 |
650 |
422500 |
|
35 |
538 |
289444 |
|
36 |
175 |
30625 |
|
2804893 |
