Гидродинамика
В тепловых процессах осуществляется передача тепла — теплопередача от одного теплоносителя к другому, причем эти теплоносители в большинстве случаев разделены перегородкой {стенкой аппарата, стенкой трубы и т. п.). Количество передаваемого тепла определяется основным уравнением теплопередачи.: Q=KDtmF.
В этом уравнении коэффициент теплопередачи К является суммирующим коэффициентом скорости теплового процесса, учитывающим необходимость перехода тепла от ядра потока первого теплоносителя к стенке (теплоотдачей), через стенку {теплопроводностью) и от стенки к ядру потока второго теплоносителя (теплоотдачей). Коэффициент теплопередачи определяет количество тепла, которое передается от одного теплоносителя к другому через единицу площади разделяющей их стенки в единицу времени при разности температур между теплоносителями 1 град.
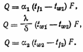
Соотношение для расчета коэффициента теплопередачи можно вывести, рассмотрев процесс передачи тепла от одного теплоносителя к другому через разделяющую их стенку. На рис. 1 показана плоская стенка толщиной d, материал которой имеет коэффициент теплопроводности l. По одну сторону стенки протекает теплоноситель с температурой tf1 в ядре потока, по другую сторону—теплоноситель с температурой tf2. Температуры поверхностей стенки tw1 и tw2. Коэффициенты теплоотдачи a1 и a2. При установившемся процессе количество тепла, передаваемого в единицу времени через площадку F от ядра потока первого теплоносителя к стенке, равно количеству тепла, передаваемого через стенку и от стенки к ядру потока второго теплоносителя.
Рис. 1. Характер изменения температур при теплопередаче через плоскую стенку
Это количество тепла можно определить по любому из соотношений:
Из этих соотношений можно получить:
Складывая эти уравнения, получим:
откуда
Из сопоставления уравнений найдем
откуда
Величина 1/К, обратная коэффициенту теплопередачи, представляет собой термическое сопротивление теплопередаче. Величины l/a1 и 1/a2 являются термическими сопротивлениями теплоотдаче, а d/l—термическим сопротивлением стенки. Из уравнения следует, что термическое сопротивление теплопередаче равно сумме термических сопротивлений теплоотдаче и стенки.
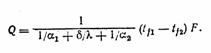
При расчетах коэффициента теплопередачи в случае многослойной стенки необходимо учитывать термические сопротивления всех слоев. В этом случае коэффициент теплопередачи определяют по формуле
где i—порядковый номер слоя; п—число слоев.
Рис. 2. Характер изменения температур теплоносителей при прямоточном движении их вдоль поверхности теплообмена
ДВИЖУЩАЯ СИЛА ТЕПЛОВЫХ ПРОЦЕССОВ
Движущей силой тепловых процессов является разность температур сред, при наличии которой тепло распространяется от среды с большей температурой к среде с меньшей температурой. При теплопередаче от одного теплоносителя к другому разность между температурами теплоносителей не сохраняет постоянного значения вдоль поверхности теплообмена, и поэтому в тепловых расчетах, где применяется основное уравнение теплопередачи к конечной поверхности теплообмена, необходимо пользоваться средней разностью температур.
На рис. 2 показан характер изменения температур теплоносителей «при прямоточном движении их вдоль поверхности теплообмена. Один из теплоносителей охлаждается от температуры t’1 до t’’1, другой нагревается от t’2 до t’’2. Количество тепла, переданное в единицу времени от первого теплоносителя ко второму на произвольно выделенном элементе теплообменной поверхности можно определить по основному уравнению теплопередачи:
где К—коэффициент теплопередачи; t1 и t2—температуры теплоносителей по обе стороны элемента dF.
В результате теплообмена на элементе поверхности температура первого теплоносителя понизится на dt1 а второго— повысится на dt2
где G1 и G2—расходы первого и второго теплоносителей; c1 и с2—теплоемкости первого и второго теплоносителей.
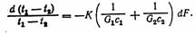
Вычитая равенство (в) из равенства (б), получим:
Подставив значения G1c1 и G2c2 из уравнений (е) и (ж) в равенство (д), имеем:
Подставив значение dQ из уравнения (а) в равенство (г) и выполнив преобразования, имеем
Обозначив через Q общее количество тепла, переданное в единицу времени от первого теплоносителя ко второму на всей теплообменной поверхности F, из уравнения теплового баланса, получим:
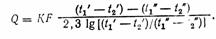
Проинтегрировав уравнение при постоянном К, получим
Обозначив наибольшую разность температур между теплоносителями Dtb= t’1-t’2, а наименьшую Dtм= t’’1-t’’2, подставим соотношение в следующем виде:
Сопоставив уравнения, получим соотношение для определения средней разности температур:
Это соотношение справедливо также и для случая противоточного движения теплоносителей вдоль поверхности теплообмена.
При небольших изменениях температур теплоносителей, когда Dtм/Dtb,³0,5 среднюю разность температур можно вычислять как среднеарифметическую:
При этом ошибка не превышает 4%.
При перекрестным токе теплоносителей среднюю разность температур можно вычислять по формуле с поправочным коэффициентом eDt:
Поправочный коэффициент eDt находят по графикам в зависимости от соотношения температур теплоносителей. В литературе представлены графики для некоторых случаев перекрестного тока теплоносителей. Величины Р и R, указанные на этих графиках, находят по формулам:
