Гидродинамика
НАГРЕВАНИЕ ПРОМЕЖУТОЧНЫМИ ТЕПЛОНОСИТЕЛЯМИ
При нагревании многих материалов для сохранения качества продуктов или обеспечения безопасной работы недопустим даже кратковременный их перегрев. В этих случаях для обогрева применяют промежуточные теплоносители, которые сначала нагреваются топочными газами, а затем передают воспринятое тепло обрабатываемому материалу.
В качестве промежуточных теплоносителей применяют минеральные масла, перегретую воду, высокотемпературные органические теплоносители (ВОТ), расплавленные смеси солей и др.
Нагревание топочными газами через жидкостную баню относится к простейшим способам нагревания промежуточными теплоносителями.
В случае нагревания на масляной бане (до температур 200—250 °С) аппарат снабжают рубашкой, заполненной маслом. Топочные газы омывают рубашку и передают тепло маслу, а масло через стенки аппарата—обрабатываемым материалам. Рубашка соединена трубопроводом с расширительным бачком, в который перетекает часть масла, когда объем его увеличивается при нагревании. В этот же бачок выбрасывается масло при бурном вскипании влаги (почти всегда содержащейся в свежем масле) в случае нагревания масла выше 100— 120 °С.
Нагревание через жидкостные бани не обеспечивает высоких коэффициентов теплопередачи, так как в рубашке в жидком промежуточном теплоносителе возникают только очень слабые конвекционные токи. Для повышения коэффициентов теплопередачи используют установки с циркулирующим жидким промежуточным теплоносителем. Нагревание дымовыми газами с циркулирующим жидким промежуточным теплоносителем. Этот процесс осуществляется на установках с естественной или принудительной циркуляцией теплоносителя.
Принципиальная схема установки с естественной циркуляцией жидкого теплоносителя показана на рис. 3. Жидкий теплоноситель нагревается в змеевике 2
Рис. 3. Принципиальная схема нагревательной установки с естественной циркуляцией жидкого промежуточного теплоноси теля: 1 — печь; 2 — змеевик; 3 — обогреваемый аппарат.
печи 1. В результате уменьшения при нагревании плотности теплоносителя он перемещается по трубопроводу вверх к обогреваемому аппарату 3. Теплоноситель «проходит по змеевику, расположенному вокруг этого аппарата, и отдает тепло нагреваемому материалу. Температура теплоносителя при этом снижается, а плотность увеличивается, в результате чего он стекает по трубопроводу вниз. Таким образом осуществляется замкнутая циркуляция теплоносителя.
Тепловая производительность установки с естественной циркуляцией жидкого теплоносителя определяется равенством
где G—скорость циркуляции теплоносителя, кг/ч; с—теплоемкость теплоносителя, кДж/(кг°С)', tr—температура теплоносителя в горячей ветви системы (до обогреваемого аппарата), °С; tx—температура теплоносителя в холодной ветви системы (после обогреваемого аппарата), °С.
Скорость циркуляции теплоносителя, может быть найдена из соотношения
где f—площадь сечения трубопровода, w—линейная скорость теплоносителя в трубопроводе, м/с; р — плотность теплоносителя, кг/м3
Линейную скорость теплоносителя в трубопроводе можно найти, исходя из законов гидродинамики. Если принять линейный закон изменения плотности теплоносителя в зависимости от высоты рабочей части обогреваемого аппарата ha (м), а также от высоты змеевика в печи hп (м), то напор, определяющий движение теплоносителя в системе, составит '
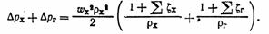
где H==h+0,5(hа+hп); h—высота, определяющая положение обогреваемого аппарата над печью, м; рх и рг—плотности теплоносителя соответственно в холодной и горячей ветви системы, кг/м3
Сопротивление горячей и холодной ветвей циркуляционной системы может быть выражено в виде
где wх и wr — линейная скорость теплоносителя соответственно в холодной и горячей ветви, м/с; Sxx и Sxг — сумма сопротивлений соответственно холодной и горячей ветви.
При одном и том же сечении трубопровода в холодной и горячей ветвях, согласно закону неразрывности потока, wxpxg== wгpгg и, следовательно,
Подставляя найденное значение wг, получим:
При установившемся процессе
Следовательно,
Из соотношения следует, что тепловая производительность циркуляционных установок возрастает с увеличением разности высот расположения обогреваемого аппарата и печи и с увеличением разности плотностей теплоносителей в холодной и горячей ветвях; с ростом гидравлических сопротивлений системы ее тепловая производительность уменьшается. Скорость теплоносителя в условиях естественной циркуляции невелика: обычно порядка 0,1 м/с.
В установках с естественной циркуляцией в качестве теплоносителя обычно применяют перегретую воду или высокотемпературные органические теплоносители. Максимальная температура нагревания воды равна ее критической температуре 374 °С при соответствующем давлении 22,5 МПа. До герметизации циркуляционной системы при разогреве из нее следует удалить воздух или другие неконденсирующиеся газы, поэтому установку заполняют только дистиллированной водой.
Работу установки желательно проводить при режиме, когда горячая ветвь системы заполнена преимущественно паром, а холодная—преимущественно жидкостью. В этих условиях благодаря большой разности между плотностями жидкости и пара скорость циркуляции воды увеличивается, и тепловая производительность установки возрастает.
Установки с циркулирующей перегретой водой рассчитывают на рабочее давление 22,5 МПа. Это приводит к необходимости применения весьма сложной и металлоемкой аппаратуры и арматуры.
Высокая тепловая производительность установок достигается применением принудительной циркуляции жидких теплоносителей.
Установка с принудительной циркуляцией жидкого теплоносителя показана на рис. 4. Для наполнения системы необходимое количество теплоносителя перекачивают в нее из сборника 1 насосом 2, После этого сборник 1 разобщается с системой перекрытием вентилей, и при работающем насосе 2 теплоноситель начинает циркулировать через трубчатый нагреватель 3 (расположенный в печи) и рубашку обогреваемого аппарата.
Рис. 4. Схема нагревательной установки с принудительной циркуляцией жидкого промежуточного теплоносителя:
1 — сборник теплоносителя; 2 — насос; 3 — трубчатый нагреватель: 4 — обогреваемый аппарат; 5 —расширительный бачок
