Анализ тенденций развития рынка товаров и услугРефераты >> Статистика >> Анализ тенденций развития рынка товаров и услуг
Нарисуем точки и регрессию:
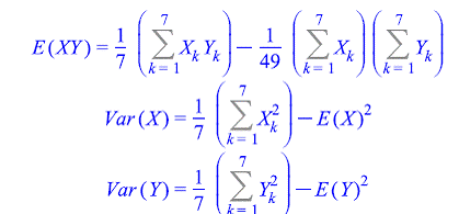
Среднее Y
Подсчитаем оценку дисперсии ошибки, т.е.

![]()
Среднее X
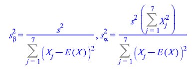
Найдем оценки дисперсий коэффициентов регрессии [6]
по формулам
Получим
Эластичность показательной регрессии
Подсчитаем функцию эластичности по формуле
В нашем случае
или
.
Значение эластичности в средней точке
Показывает, что при изменении X на 1% Y меняется на
Процентов [8].
Изучение качества линейной регрессии
Доверительные интервалы для оцененных параметров
уровень доверия
Количество степеней свободы=5
Критическое значение статистики Стьюдента ![]()
Доверительный интервал для beta
равен
Не можем на данном уровне значимости принять гипотезу beta=0 т.к. НЕ попадает в доверительный интервал.
Доверительный интервал для alpha
равен
Мы НЕ можем на данном уровне значимости принять гипотезу alpha=0 т.к. НЕ попадает в доверительный интервал.
Критерий Фишера значимости всей регрессии
Коэффициент корреляции
где
показывает, что связь СИЛЬНА
Коэффициент детерминации ![]()
показывает, что регрессия объясняет 97,78 процентов вариации признака.
Убедимся в значимости модели с помощью статистики Фишера [10]

которая БОЛЬШЕ критического значения
![]()
![]()
Следовательно, регрессия ЗНАЧИМА
Проверим значимость коэффициента корреляции

![]()
поэтому выборочный коэффициент корреляции ЗНАЧИМО отличается от нуля.
Средняя ошибка аппроксимации [8]
Колеблемость признака
Колеблемость - это отклонения уровней динамического ряда от тренда, т.е. остатки регрессии. Найдем остатки регрессии (т.е. очищаем признак от тренда)
![]()
![]()
![]()
![]()
![]()
Нарисуем график остатков
Среднее линейное отклонение уровней ряда от тренда описывается показателем
т.е. среднее абсолютное отклонение от тренда равно
Амплитуда колебаний есть разность максимального и минимального отклонения и показывает максимальный разброс отклонений [12].
![]()
Прогноз
Точечный прогноз для
![]()
![]()
![]()
![]()
Глава 2. Объем производства сахара
2.1. Линейная регрессия
Для регрессии вида
Вычислим
