Анализ тенденций развития рынка товаров и услугРефераты >> Статистика >> Анализ тенденций развития рынка товаров и услуг
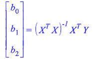
Для регрессии вида
найдем коэффициенты
Найдем обратную матрицу
Дополнительные миноры


Их определители
![]()
![]()
![]()
![]()
![]()
![]()
Союзная матрица
Союзная транспонированная матрица
Делим каждый элемент на определитель, получаем
Найдем

Уравнение регрессии имеет вид
Нарисуем график
Среднее значение регрессоров и Y
![]()
![]()
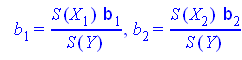
Коэффициенты эластичности
равны
![]()
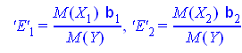
Стандартизованные коэффициенты
![]()
![]()
![]()
Тогда
Парные коэффициенты корреляции



Частные коэффициенты корреляции



Колеблемость признака
Найдем остатки регрессии (т.е. очищаем признак от тренда)
![]()
![]()
![]()
![]()
![]()
Нарисуем график остатков
Cреднее абсолютное отклонение от тренда равно
Амплитуда колебаний есть разность максимального и минимального отклонения и показывает максимальный разброс отклонений.
![]()
Доверительные интервалы для параметров регрессии
Дисперсия ошибок определяется по формуле

Дисперсия
![]()
![]()
Количество степеней свободы =4. Критическое значение статистики Стьюдента
Уровень доверия 95% Доверительный интервал для
равен
Не можем на данном уровне значимости принять гипотезу
т.к. НЕ попадает в доверительный интервал. Доверительный интервал для
