Проблема трудовых ресурсов в СПб. Эконометрическое обоснованиеРефераты >> Статистика >> Проблема трудовых ресурсов в СПб. Эконометрическое обоснование
Общая вариация (TSS)
Объясняемая вариация (ESS)
![]()
Правило сложения дисперсий выполняется
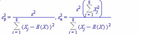
Подсчитаем оценку дисперсии ошибки, т.е.

![]()
Среднее X
Найдем оценки дисперсий коэффициентов регрессии
по формулам
Получим
Подсчитаем функцию эластичности по формуле
В нашем случае
или
Значение эластичности в средней точке
Показывает, что при изменении X на 1% Y меняется на
процентов.
Доверительные интервалы для оцененных параметров
уровень доверия
Количество степеней свободы 6
Критическое значение статистики Стьюдента ![]()
Доверительный интервал для beta
равен
Не можем на данном уровне значимости принять гипотезу beta=0 т.к. не попадает в доверительный интервал.
Доверительный интервал для alpha
равен
Мы не можем на данном уровне значимости принять гипотезу alpha=0 т.к. не попадает в доверительный интервал.
Критерий Фишера значимости всей регрессии
Коэффициент корреляции
где
показывает, что связь сильна
Коэффициент детерминации ![]()
![]()
показывает, что регрессия объясняет 99,65 процентов вариации признака.
Убедимся в значимости модели с помощью статистики Фишера

которая больше критического значения
![]()
![]()
Следовательно, регрессия значима
Проверим значимость коэффициента корреляции
![]()
поэтому выборочный коэффициент корреляции значимо отличается от нуля.
Средняя ошибка аппроксимации
Колеблемость - это отклонения уровней динамического ряда от тренда, т.е. остатки регрессии. Найдем остатки регрессии (т.е. очищаем признак от тренда)
![]()
![]()
![]()
![]()
![]()
![]()
Нарисуем график остатков
Среднее линейное отклонение уровней ряда от тренда описывается показателем
т.е. среднее абсолютное отклонение от тренда равно
Амплитуда колебаний есть разность максимального и минимального отклонения и показывает максимальный разброс отклонений.
Степень тесноты связи между последовательностями наблюдаемого временного ряда, сдвинутого относительно друг друга на t единиц может быть определена с помощью коэффициента автокорреляции
Показатель t служит порядком коэффициента автокорреляции. Для разных t получаем r(t) автокорреляционную функцию
![]()
![]()
Статистика Дарбина-Уотсона

