Проблема трудовых ресурсов в СПб. Эконометрическое обоснованиеРефераты >> Статистика >> Проблема трудовых ресурсов в СПб. Эконометрическое обоснование
или
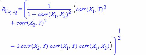
Ошибка множественного коэффициента корреляции
Найдем коэффициент детерминации
Проведем F-тест.
![]()
Регрессия значима.
Доверительные интервалы для коэффициентов регрессии
| Нижние 95,0% | Верхние 95,0% |
|
3770,174 |
4852,707 |
|
-0,53028 |
-0,29831 |
|
-3,73216 |
-0,35694 |
Т.к. ноль не попадает в интервалы, то каждый из коэффициентов регрессии значим.
| Коэффициенты | Стандартная ошибка | t-статистика | |
|
Y-пересечение |
4311,441 |
210,5623 |
20,47584 |
|
Переменная X 1 |
-0,41429 |
0,04512 |
-9,18198 |
|
Переменная X 2 |
-2,04455 |
0,65651 |
-3,11427 |
t- статистика каждого из коэффициентов больше критического значения, поэтому каждый из коэффициентов значим. Рассмотрим дисперсионную таблицу
| df | SS | MS | F | Значимость F | |
|
Регрессия |
2 |
5263,958 |
2631,979 |
51,5383 |
0,00046 |
|
Остаток |
5 |
255,342 |
51,06841 | ||
|
Итого |
7 |
5519,3 |
Значимость F статистики =0,00046<0,05 значит вся регрессия значима.
Нарисуем график остатков
| год | прогноз | e(t) | (e(t)-e(t-1))^2 | e^2(t) | |e(t)| |
| 1 | 2307,531 | -6,231 | 38,823 | 6,231 | |
| 2 | 2341,343 | 0,057 | 39,540 | 0,003 | 0,057 |
| 3 | 2329,785 | 0,015 | 0,002 | 0,000 | 0,015 |
| 4 | 2348,76 | 2,840 | 7,982 | 8,068 | 2,840 |
| 5 | 2356,758 | 11,042 | 67,262 | 121,920 | 11,042 |
| 6 | 2372,473 | -0,173 | 125,759 | 0,030 | 0,173 |
| 7 | 2391,16 | -9,160 | 80,780 | 83,910 | 9,160 |
| 8 | 2378,591 | 1,609 | 115,976 | 2,589 | 1,609 |
|
сумма |
437,3005885 |
255,3420468 |
31,12706067 |
