Строение, свойства и биологическая роль биотина и тиамина
План:
I. Биотин
1. Исторические сведения
2. Химические и физические свойства биотина
2.1 Аналоги и ингибиторы
3. Распространение биотина в природе
4. Биосинтез биотина
5. Обмен биотина в организме
6. Участие биотина в обмене веществ и механизм действия
6.1 Взаимодействие с другими витаминами
7. Потребность организма в биотине
7.1 Проявление недостаточности биотина
8. Профилактическое и лечебное применение биотина
II. Тиамин
1. Исторические сведения
2. Химические и физические свойства витамина
3. Распространение витамина В1, в природе
4. Обмен тиамина в организме
4.1 Образование тиаминфосфатов (ТФ)
4.2 Роль отдельных группировок в молекуле тиамина для его связывания в тканях
4.3 Коферментные функции тиаминдифосфата
4.4 Некоферментная активность тиамина и некоторых его производных
4.5 Тиаминофосфаты (ТФ)
4.6 Свободный тиамин и его производные
5. Физиологическое значение
Биотин
1. Исторические сведения
Более 60 лет назад Wilidiers показал, что для обеспечения жизнедеятельности Дрожжевых клеток в искусственную питательную среду необходимо внести какое-то органическое вещество (фактор роста). Этот фактор роста он предложил назвать «биосом» (от греч. «bios»—жизнь). Изучение природы «биоса» привело к заключению, что «биос» представляет собой комплекс факторов роста, отличающихся друг от друга по физико-химическим свойствам. Экстракты, содержащие «биос», при обработке уксуснокислым свинцом разделялись на две биологически активные фракции. Фракция, выпадавшая в осадок, была названа «биос I», а фракция, остававшаяся в растворе, получила название «биос II». В 1928 г. «биос I» выделен из чая и идентифицирован как инозит. В 30-х годах «биос II» подвергался тщательному изучению и был разделен на две фракции—«биос IIа» и «биос IIв»—путем адсорбции последней на животном угле.
Kogi предложил назвать «биос IIв» прото «биосом II» или биотином, а фракцию «биос IIа»—«биосом III». В 1935—1936 гг. Kogi и Tonnies впервые выделили кристаллический биотин из желтка яиц. Для этой цели они использовали 250 кг желтков яиц и получили 100 мг биотина с температурой плавления 148°. Позже было найдено, что некоторые виды Rhizobium требуют для своего роста какое-то органическое вещество, присутствующее в культурах Azotobacter в гидролизованных дрожжах и других естественных источниках. Это вещество получило название «коэнзим Р». Сравнительное изучение действия на рост Rhizobium «коэнзима Р» и кристаллического препарата биотина показало, что оба вещества обладают одинаковыми биологическими свойствами.
В 1931 г. Gyorgy (Gyorgy, 1954) в опытах на крысах обнаружил, что ряд естественных источников содержит вещество, предохраняющее животных от заболевания, вызываемого избытком белка яиц, и предложил назвать его витамином H. 1939 г. он получил препарат витамина Н из печени. В процессе изучения физико-химических свойств препаратов витамина Н и распространения его в естественных источниках возникла мысль об идентичности витамина Н и биотина. Экспериментальная проверка показала, что наиболее очищенные препараты витамина Н полностью заменяют коэнзим Р при испытании на культурах Rhizobium tritolii и биотин при испытании на дрожжах. С другой стороны, коэнзим Р или биотин полностью заменял витамин Н при испытании на животных. Таким образом, витамин Н и биотин полностью идентичны. Дальнейшие исследования дали возможность установить химическое строение биотина и осуществить его синтез.
2. Химические и физические свойства биотина
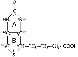
В 1941 г. du Vigneaud и сотрудники выделили из печени кристаллический препарат метилового эфира биотина, из которого путем омыления щелочью был получен свободный биотин. Эмпирическая формула его была определена как C10H16O3N2S. На основании изучения продуктов распада биотина эти авторы пришли к выводу, что структура витамина соответствует 2/-кeтo-3,4-имидaзoлидo-2-тeтpaгидpoтиофен-н-валериановой кислоте.
Молекула биотина состоит из имидазолового (А) и тиофенового (В) колец. Гетероцикл можно рассматривать как тиофеновое кольцо, связанное с уреидной группировкой. Приведенная структура биотина была подтверждена полным его химическим синтезом. В молекуле имеется три асимметрических атома углерода, что обусловливает существование 8 стереоизомеров.
Биотин образует игольчатые кристаллы с температурой плавления 232°. D поперечном сечении кристалл представляет собой ромб, острые углы которого равны 55°. Длина осей: а—5,25Ǻ, b—10,35Ǻ, с— 21,00Ǻ. Плотность кристаллов 1,41. Молекулярный вес биотина на основе химической формулы равен 214. Нa на основе рентгеноскопического анализа 245±6. При исследовании кристаллической структуры биотина установлено, что алифатическая цепь находится в цис-положении по отношению к уреидной циклической группировке.
На основании данных, полученных методом рентгеноскопической кристаллографии Traub (1959) считает возможным образование внутримолекулярной водородной связи, которая возникает между кислородом карбонильной группы и одним из кислородных атомов карбоксильной группы в результате близкого расстояния между N-3’ и С-6 равного 2,4Ǻ; все остальные расстояния в молекуле составляют более 3,4Ǻ. Образование такой связи должно изменять распределение зарядов в уреидном кольце со смещением, кэтоэнольного. равновесия .к энолу, что: приводит к изменению химической реактивности N-1. Наличие водородной связи в известной мере определяет биологическую активность биотина и его производных. В 1965 г. установлена структура и относительная конфигурация каждого асимметрического центра биотина, а в 1966 г. абсолютная стереохимия витамина.
Биотин хорошо растворим в воде и спирте, трудно растворим в эфире, углеводородах парафинового ряда и несколько лучше в циклогексане, бензоле, галогенизированных углеводородах, спиртах и кетонах (ацетон). Биотин устойчив к действию ультрафиолетовых и рентгеновых лучей. Он разрушается под влиянием перекиси водорода, соляной кислоты, едких щелочей, формальдегида и сернистого газа. Он не изменяется под действием молекулярного кислорода, серной кислоты, гидро-
ксиламина. В ультрафиолетовых лучах для биотина не обнаружено специфического поглощения.
2.1 Аналоги и ингибиторы. Молекула биотина обладает большой специфичностью. Это подтверждается тем, что из 8 известных стереоизомеров только один—биотин—обладает биологической активностью. Удаление или замена каких либо атомов или групп атомов приводит к полной потере активности (дегидробиотин, гемоглобин, норбиотин). Только одна группа производных, полученных окислением атома серы (сульфобиотин и биотинсульфоксид) или заменой серы кислородом (оксибиотин) или двумя атомами водорода (дестиобиотин), проявляет биологическую активность. Сульфобиотин заменяет потребность в биотине у некоторых дрожжей но оказывается
