Строение, свойства и биологическая роль биотина и тиамина
Наиболее богаты витаминами свиная и говяжья печень, почки, сердце быка, яичный желток, а из продуктов растительного происхождения—бобы, рисовые отруби, пшеничная мука и цветная капуста. В животных тканях и дрожжах биотин находится преимущественно в связанном с белками виде, в овощах и фруктах—в свободном состоянии.
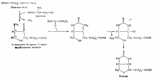
4. Биосинтез биотина.
Биосинтез биотина осуществляют все зеленые растения, некоторые бактерии и грибы. Изучение путей биосинтеза биотина началось после выяснения строения его молекулы. Химическое расщепление биотина проходит через образование дестиобиотина, диаминопеларгоновой кислоты и, наконец, пимелиновой кислоты. Вполне естественно было предположить, что биосинтез биотина может проходить путем постепенного усложнения молекулы пимелиновой кислоты. В пользу этого говорил тот факт, что пимелиновая кислота способна заменять биотин у некоторых микроорганизмов как фактор роста. Она стимулирует синтез биотина: меченая пимелиновая кислота обнаруживается в углеродном скелете биотина.
Изучение структурной формулы биотина привело к предположению, что атомы I,1', 4 и 5 происходят из декарбоксилированной молекулы цистеина (см. формулу), атомы 2 и 3 происходят из карбамилфосфата и связаны, таким образом, с имеющимся в клетках «пулом» СО2 в то время как остальные семь атомов (2, 3, 6, 7, 8, 9 и 10) происходят из углеродного скелета пимелиновой кислоты. Высказанное предположение подтверждено экспериментально при изучении биосинтеза
Биотина в культурах Achromobacter, выращенных на синтетических средах, к которым добавляли либо 3-С14-цистеин, либо МаНС14Оз. Синтезированный бактериями радиоактивный биотин расщепляли и таким образом изучали распределение в нем радиоактивного углерода. Основываясь на полученных результатах, Lezius и соавторы в 1963 г. предложили схему синтеза биотина.
Согласно этой схеме, началом синтеза является конденсация пимелил-КоА и цистеина. Затем происходит декарбоксилирование, что приводит к образованию 9-меркапто-8-амино-7-оксопеларгоновой кислоты. Взаимодействие аминогруппы этой кислоты с карбамилфосфатом вызывает образование уреидного производного, которое после отщепления воды может циклизоваться, давая биотин с характерным для него двойным циклом.
По способности синтезировать биотин и дестиобиотин все исследованные организмы делятся на 4-е группы:
1. Способные синтезировать большое количество биотина и дестиобиотина из глюкозы в отсутствие пимелиновой кислоты.
2. Стимулирующие при помощи пимелиновой кислоты и дестибиотина биосинтез биотина.
3. Активно осуществляющие превращение дестибиотина в биотин.
4. Образующие дестиобиотин из пимелиновой кислоты, но не способные превращать его в биотин.
Изучено более 600 штаммов бактерий, использующих углеводороды для синтеза биотина, из которых 35, синтезируют витамин в больших количествах (>100 мкг/мг). Наибольшее количество биотина образует Pseudomonas sp. штамм 5-2 при выращивании на керосине. Специфическим активатором накопления биотина является аденин. Экзогенные пимелиновая и азелаиновая кислоты увеличивают образование блотина. из керосина. Лучшими источниками углерода оказались н-алканы с углеродной цепью из 15—20 атомов, в частности н-ундекан. Промежуточными продуктами в синтезе биотина из ундекана являются пимелиновая и азелаиновая кислоты (Toshimichi e. a., 1966).
Исследование биосинтеза биотина в растениях (В. Филиппов, 1962 г.) показало, то каждый орган растения и каждая его клетка синтезирует витамин в эмбриональной фазе своего развития. В дальнейшем синтез замедляется и, по-видимому, прекращается, но содержание его различных тканях долгое время остается постоянном.
5. Обмен биотина в организме
Об обмене биотина известно немного. Биотин, поступивший с пищей в связанном состоянии, отщепляется от белка под действием протеолитических ферментов, переходит в водорастворимую форму и всасывается в кровь в тонком кишечнике. В кишечнике происходит также всасывание биотина, синтезированного бактериями желудочно-кишечного тракта. Всосавшийся в кровь биотин связывается с альбумином сыворотки разносится по всему организму. Наибольшее количество биотина накапливается в печени, почках и надпочечниках, причем у мужчин оно несколько больше, чем у женщин.
Содержание биотина в тканях человека (Р. Д. Вильяме, 1950)
|
Органы и ткани |
Биотин в мкг/г | |
|
у женщин |
у мужчин | |
|
Кожа |
— |
0 01 |
|
Мозг |
0,03 |
0,08 |
|
Легкие |
0,02 |
0,01 |
|
Сердце |
0,17 |
0,19 |
|
Мышцы |
0,02 |
0,04 |
|
Желудок |
0,19 |
0,11 |
|
Ободочная кишка |
0,08 |
0,09 |
|
Печень |
0,62 |
0,77 |
|
Молочная железа |
0,04 |
— |
|
Селезенка |
0,04 |
0.06 |
|
Почки |
0 58 |
0,67 |
|
Надпочечники |
0,35 |
0,23 |
|
Семенники |
— |
0,05 |
|
Яичники |
0,03 |
—— |
Что касается содержания биотина в крови человека, то по этому вопросу имеется ограниченная и порой противоречивая информация. Bhagavan и Coursin в 1967 г. определили содержание биотина микробиологическим методом в крови 30 здоровых лошадей и 25 взрослых людей и показали, что в среднем в крови взрослых людей содержится 25,7 ммкг% биотина (12—42,6 ммкг%), а в крови детей несколько больше—32,3 ммкг% (14,7—55,5 ммкг%). По данным Baugh (1968), средний уровень биотина в цельной крови составляет 147 ммкг% (82— 270 ммкг%). Какой-либо разницы, в содержании биотина в .крови в зависимости от пола и возраста не отмечено. Содержание биотина в молоке женщины резко изменяется в период кормления. В первый день после родов содержание биотина b молоке невелико и только на 10-й день повышается до 0,33 мкг на 100 мл.
