Строение, свойства и биологическая роль биотина и тиамина
антагонистом витамина для L. casei, E. coli и Neurospora.
Известны аминокислотные производные биотина, среди которых наиболее изучен биоцитин, обладающий высокой активностью для многих микроорганизмов. Биоцитии выделен в кристаллическом виде из дрожжей. В 1951 г. расшифрована его структура. Оп представляет собой пептид биотина и лизина, а именно:
В 1952 г. осуществлен синтез биоцитина. Степень использования биоцитина разными микроорганизмами резко различается. Возможной причиной этого может быть наличие или отсутствие биоцитиназы, которая расщепляет биоцитин с освобождением свободного биотина.
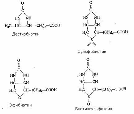
По данным Traub (1959), биологическая активность биотина и его аналогов обусловлена внутримолекулярной связью, что позволяет объяснить причины наличия или отсутствия биологической активности для большинства изомеров и производных биотина. Так, образование водородной связи исключено у всех других оптических изомеров, кроме D-биотина, а также у производных с более длинной или укороченной боковой цепью, что приводит к полной потере биологической активности (гомобиотин, норбиотин). Неактивность гуанидиновых аналогов биотина, биотинола, оксибиотинола также объясняется отсутствием у них водородной связи. Некоторые производные биотина, которые образуются без нарушения водородной связи, сохраняют биологическую активность (дестиобиотин, оксибиотин, биоцитин и ряд аминокислотных производных биотина).
В настоящее время выяснена причина патологических изменений, возникающих при кормлении животных сырым яичным белком. В нем содержится авидин—белок, который специфически соединяется с биотином (введенным внутрь с пищевыми продуктами или синтезированным кишечными микроорганизмами) в неактивный комплекс и тем самым препятствует его всасыванию. Авидин содержится в яичном белке курицы, гуся, утки, индейки и лягушки. В 1942 г. он получен в кристаллическом виде и оказался глюкопротеидом с молекулярным весом 70000. Авидин стехиометричёски связывает эквимолярные количества биотина, образуя прочный комплекс, который не расщепляется ферментами пищеварительного тракта. Комплекс авидина с биотином термически устойчив и полностью диссоциирует только в автоклаве при 120° за 15 минут. С авидином соединяется DL-оксибиотин и некоторые другие аналоги биотина, но сродство авидина к биотину намного больше, чем к его производным. Изучение взаимодействия биотина и его производных с авидином показало необходимость уреидной группы в молекуле витамина, тогда; как карбоксильная группа и атом серы не являются необходимыми для образования комплекса. Авидин является универсальным ингибитором биотина. Его способность связывать биотин широко используется при изучении механизма участия этого витамина в процессах обмена веществ: торможение той или иной биохимической реакции авидином является существенным доводом в пользу возможности участия в ней биотина. Авидин применяется для получения экспериментальной биотиновой недостаточности у животных.
3. Распространение биотина в природе
Биотин широко распространен в природе. Он обнаружен у микроорганизмов. растении и животных. Содержание его определено в различных систематических группах животных: простейших, насекомых, рыб, земноводных, птиц, млекопитающих. Наиболее высокий уровень биотина обнаружен в личинках насекомых и наименьший — у пресмыкающихся. Рекордное количество (6,81 мкг/г) найдено в печени акулы. Содержание биотина в организме животных не зависит от принадлежности животного к определенной систематической группе. Анализ тканей показал большое различие в содержании биотина в органах одного и того же животного. Наиболее богаты витамином печень, почки, надпочечники; сердце и желудок содержат среднее, а мозговая ткань, легкие и скелетные мышцы—минимальное количество биотина.
Ниже приведено содержание биотина в различных продуктах животного и растительного происхождения.
Содержание биотина в пищевых продуктах (В. В. Филиппов, 1962)
|
Продукты животного происхождения |
Биотин в мкг на продукта |
Продукты животного 100 г происхождения |
Биотин в мкг на 100 г продукта |
|
Печень свиная |
250 |
Рисовые отруби |
46 |
|
» говяжья |
200 |
Рожь, цельное зерно |
46 |
|
Почки свиные |
180 |
Земляные орехи |
40 |
|
Сердце быка |
8—50 |
Пшеничная мука |
9—25 |
|
Яйцо (желток) |
30 |
Цветная капуста |
17 |
|
Сардины (консервы) |
24 |
Шампиньоны |
16 |
|
Ветчина |
10 |
Горошек зеленый |
6 |
|
Камбала |
8 |
Бананы |
4,4 |
|
Мясо курицы |
6 |
Дыня |
3,6 |
|
» говядины |
5 |
Лук свежий |
3,5 |
|
Молоко коровье |
5 |
Капуста белокочанная |
2.5 |
|
Сыр |
4 |
Морковь |
2,5 |
|
Сельдь |
4 |
Апельсины |
1,9 |
|
Телятина |
1,5—2 |
Яблоки |
0,9 |
|
Соя, бобы |
60 |
Картофель |
0,5—1,0 |
