Управление проектомРефераты >> Менеджмент >> Управление проектом
Рис. 3.9. Фрагмент сетевой матрицы
Наносим на матрицу работу 8, которая по технологии проведения работ (см. табл. 3.1.) зависит от всех работ по оценке обстановки, поэтому объединяем результаты всех работ в одно событие при помощи зависимости (рис. 3.10). Заканчиваем построение фрагмента сетевой матрицы путем нанесения оставшихся по перечню работ (9–12) (рис. 3.10).
Рис. 3.10. Фрагмент сетевой матрицы
Для сопоставления известного перечня работ с перечнем работ по сетевой матрице необходимо составить переводную таблицу (или новый перечень работ) (табл. 3.2).
Таблица 3.2. Сопоставимый перечень работ
| Номер данной работы по перечню | Коды работы по сетевой матрице |
| 1 | 1–2, 1–3, 1–4 |
| 2 | 4–9 |
| 3 | 4–11,2–12 |
| 4 | 4–8, 4–13 |
| 5 | 4–7 |
| 6 | 4–10 |
| 7 | 4–5,4–6 |
| 8 | 13–14, 13–15 |
| 9 | 1–26 |
| 10 | 15–16, 15–17, 15–18, 15–19, 15–20, 15–21, 15–22, 15–23, 15–24 |
| 11 | 24–25, 24–26 |
| 12 | 26–27,26–28,26–29 |
Рис. 3.11. Сетевая матрица
Общая продолжительность работ по фрагменту сетевой матрицы составила 15 дней.
Поскольку для построения сетевой матрицы нужно определить время выполнения каждой отдельной операции, возникает необходимость научно обоснованного формирования оценок времени в условиях заданных ограничений по ресурсам. Рекомендуется определять продолжительность выполнения работ на основе вероятностного метода. Для этого необходимо правильно выбрать соответствующий закон распределения вероятностей, которому подчинена продолжительность выполнения отдельных операций.
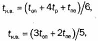
Установлено, что распределение продолжительности работ в наилучшем варианте согласуется с законом нормального распределения случайных величин. Но поскольку определение кривой распределения и других параметров – процесс довольно трудоемкий, в практике моделирования используются следующие упрощенные формулы:
|
|
(1) (2) |
где tН.В.– наиболее вероятная продолжительность выполнения данной операции;
tОП – «оптимистическая» продолжительность выполнения данной операции;
tПЕ – «пессимистическое» время выполнения данной операции;
tР – «реалистическое» время выполнения данной операции.
Продолжительность выполнения работ определяется, как правило, методом экспертных оценок.
Практика моделирования показывает, что нельзя ограничиться только определением наиболее вероятного времени выполнения работ. Это положение можно проиллюстрировать следующим примером. Имеются две работы – «а» и «б». У работы «a» tОП = 5, tПЕ =20, отсюда tН.В. = [(3 х 5)+ + (2 х 20) ] : 5 = 11; у работы «б» tПЕ = 12, tОП = 10, отсюда tН.В. = [(3 х 10) + + (2 х 12)] : 5= 11.
Таким образом, у обеих работ в сетевой матрице будет одна и та же продолжительность, но будут ли они выполнены в определенное расчетное время? Такая уверенность, безусловно, выше по работе «б». Следовательно, за ходом выполнения работы «а» необходимо установить четкий контроль.
4. Выбор и анализ функций управления
Важнейшей проблемой организации менеджмента является определение целенаправленности его системы, т.е. установление главной (общей) цели существования фирмы. Цель – это желаемое состояние системы. Существуют два вида целей: развития и стабилизации.
Цели, составляющие общую цель фирмы, должны обладать рядом характеристик:
• конкретностью (определенный результат);
• обозримостью (краткосрочность, долгосрочность);
• реальностью (достижимость);
• взаимосвязанностью (согласованность с другими целями);
• эффективностью (результативность и прибыльность).
Главное в менеджменте – определить цели, которые отвечают интересам фирмы, а следовательно, определить функции управления, реализующие эти цели,
Цели движутся через функции управления. Реализация каждой функции обеспечивается соответствующим управленческим подразделением, которое является структурным элементом системы управления. Обоснованность существования в системе управления структурных подразделений всегда определяется их функциями. В свою очередь эффективность работы каждого подразделения зависит от его внутренней структуры, элементы которой (группы и отдельные работники) определяются составляющими данные функции операциями.
Чаще всего, обсуждая содержание функций управления, имеют в виду совокупность объективно необходимых, устойчиво повторяющихся действий, объединенных однородностью содержания и целевой направленностью. Функции управления порождаются разделением труда, объединяя однородные по характеру и общности промежуточных целей элементы совокупного воздействия, т.е. отдельные управленческие работы. Чтобы назвать функции управления, необходимо определить признаки однородности и общности целей, элементов целенаправленного воздействия. Ни одна из функций сама по себе или простая сумма функций не дают представления об управлении. Только в неразрывном единстве, диалектическом взаимодействии они образуют единый управленческий цикл.
Функции управленческого подразделения состоят из отдельных управленческих работ, часть которых относится к одной функции управления, а часть – к другой. Функция управления целиком может выполняться одним подразделением, но это же или иное подразделение совместно с другими может выполнять и другую функцию управления, что зависит от управляемости подразделения (оно не должно быть очень большим, так как становится неуправляемым) и от трудоемкости функции управления.
