Форфейтинг в системе нетрадиционного кредитования
Другим направлением, где первичный форфейтер несет определенные обязанности, не разделяемые вторичными покупателями, является проверка аваля и гарантии. Безусловно, покупатель на вторичном рынке при желании может послать запрос гаранту. Однако это приведет к ненужному и, возможно, многократному дублированию работы, связанной с подобной проверкой.
Издержки импортера
Издержками импортера, участвующего в форфейтинговой операции, являются комиссионные в пользу гаранта. Обычно комиссионные (комиссия) - это определенный процент от номинальной стоимости гарантированных или авалированных векселей, являющийся объектом переговоров между импортером и гарантом. В тех случаях, когда форфейтер не настаивает на гарантии, он может потребовать от импортера уплаты определенной суммы в качестве компенсации за дополнительный риск.
Комиссия за гарантию обычно выплачивается раз в год (в начале года). Иногда она может выплачиваться в момент подписания гарантийного письма или авалирования векселя. Бывает также, что комиссия рассчитывается как процент от номинальной стоимости каждого векселя отдельно и выплачивается по истечении его срока.
Издержки экспортера
Издержки экспортера по организации форфейтингового финансирования складываются из: ставки дисконта, комиссии за опцион и комиссии за обязательство.
Ставка дисконта базируется на процентной ставке за кредит, предоставляемый на срок, равный среднему сроку дисконтируемых векселей. Например, если форфейтер дисконтирует векселя, срок которых истекает в интервалы, равные 6 месяцам в течение 5 лет, то средний срок всех векселей будет равен 2 3/4 года. В этом случае форфейтер будет основывать свои расчеты на превалирующей процентной ставке, начисляемой на кредиты, выданные сроком в 2 3/4 года. Учитывается, естественно, и тренд процентной ставки. [18,с.49]
Затем форфейтеру нужно определить размер премии, взимаемой им сверх суммы дисконта. Уровень премии отражает степень рисков, которым подвергается форфейтер. Чаще всего они связаны с политическими трудностями или проблемами трансферта, значительно реже - с несостоятельностью гаранта, поскольку гарантию обычно берут у первоклассного института. Если гарантом выступает крупный международный банк или государственный банк, премия будет несколько ниже. Для большинства стран ее размер может колебаться от 0,5 до 5%.
Следующий компонент премии связан с тем, что форфейтинговое финансирование предоставляется по фиксированной процентной ставке. И хотя форфейтер может согласовать сроки полученных и предоставленных ссуд, процентный риск остается (всегда существует реальная возможность того, что финансирование по выгодной ставке может оказаться недоступным)
Если векселя выражены в валюте, мало распространенной на рынке, то премия может включать в себя еще один компонент, а именно комиссионные, связанные с проведением форфейтером операции валютного свопа.
Наконец, еще одной составляющей премии являются средства, обеспечивающие форфейтеру покрытие его управленческих расходов на организацию сделки (обычно, 0,5% от ставки дисконта).
Размер премии будет несколько выше, если форфейтер и экспортер договорятся о покупке векселей через определенный промежуток времени (например, через 1 месяц или более).
Кроме вышеперечисленных издержек, включаемых в премию, существуют и другие затраты. Это могут быть, например, комиссия (премия) за опцион, предоставленный форфейтеру экспортером, и так называемая комиссия за обязательство (за неполученную часть кредита). Обычно размер этой последней комиссии определяется ежемесячно или ежегодно в виде процента от номинальной стоимости векселей и взимается до момента их дисконтирования. Размер комиссии может колебаться от 0,25 до 1,5% в год. Как правило, оплата совершается в начале каждого месяца.
Многие форфейтеры ежемесячно публикуют котировки своих ставок в различных специальных изданиях.
2.3. Анализ позиции субъектов международного форфейтинга.
Анализ позиции продавца.
Определение суммы векселя. Продавец должен получить при учете векселей сумму, равную цене товара. Соответственно анализ для него заключается в определении суммы, которая должна быть указана на векселях. Если окажется, что учет векселей дает величину, меньшую, чем оговоренная цена, то продавец должен заранее поправить положение. Обычно на практике для этого повышают исходную цену. Как показано ниже, альтернативой может служить повышение ставки процентов за кредит. Ясно, что какой бы путь ни был принят, повышение исходной цены или ставки процентов не может быть произвольным. [15, c.61]
Сумма, проставленная на векселе (Vt), состоит из двух элементов: суммы, погашающей основной долг (цену товара), и процентов за кредит. Последние определяются двумя способами:
а) проценты на остаток задолженности; в этом случае срок, за который они начисляются, начинается с момента погашения предыдущего векселя;
б) проценты на сумму долга, включенную в вексель; в этом случае срок исчисляется от начала сделки и до момента погашения векселя.
Рассмотрим оба способа для случая, когда долг погашается равными суммами. Введем обозначения:
п — число векселей или периодов;
i — ставка простых процентов за период, под которую производится кредитование;
d — простая учетная ставка, используемая банком при учете
векселей;
Р— цена товара (если условия операции предусматривают выплату аванса, то последний вычитается из цены и далее не принимается во внимание. Иначе говоря, под Р в этом случае будем понимать цену за вычетом аванса).
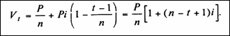
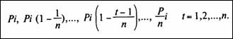
Вариант а. Погашение основного долга производится равными суммами, соответственно в каждый вексель записывается сумма Р/п. Что касается процентов за кредит, то они образуют ряд:
Сумма векселя, погашаемого в момент t, составит
(1)
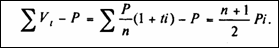
Общая сумма начисленных процентов равна
(2)
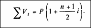
Наконец, сумма портфеля векселей составит
(3)
Вариант б. В этом случае по определению
(4)
Сумма процентов за весь срок находится как
(5)
Получен тот же результат, что и в формуле (2). Различие между вариантами, как показано в примере 1, заключается в распределении процентов по периодам.
Корректировка условий продажи. При учете портфеля векселей в банке продавец получит некоторую сумму А, Если применяется простая учетная ставка, как это обычно и делается, то
(6)
Величина А представляет собой современную величину всех платежей по векселям.
Поскольку сумма на векселе определяется двумя способами, найдем величину А для каждого из них.
