Форфейтинг в системе нетрадиционного кредитования
Вариант а, В этом случае
(7)
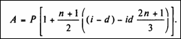
Напомним, что фигурирующие в формулах величины ставок i и d относятся к интервалам между двумя датами погашения векселей.[15,58]
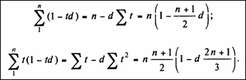
Для преобразования (7) необходимо определить следующие суммы:
Подставим полученные суммы в формулу (7). После ряда преобразований получим
(8)
Обозначим сумму в квадратных скобках через Z1. Очевидно, что если величина Z1 меньше 1, то продавец получит сумму, которая меньше договорной цены Р. Наиболее простой путь избежать потерь— повысить цену в 1/Z1, раз. Корректировочный множитель позволяет точно определить необходимую поправку и, кроме того, дает возможность проследить влияние всех воздействующих факторов. В редком случае, когда z1=1 и нет необходимости в корректировке, продавец получает при учете векселей оговоренную сумму.
Не надо забывать, что после корректировки цены необходимо вернуться к задаче определения сумм векселей уже для новой цены товара.
Вероятно, представляет практический интерес соотношение процентных ставок, при которых продавец не будет нести потери. Из равенства (10.8) следует, что последнее условие выполнимо в случае, когда
в силу чего
(9)
(10)
где d* и i* — предельные значения ставок, при которых покупатель не несет потерь, иначе говоря, при которых получаемая им сумма равна цене. Повышение платы за кредит до уровня i* полностью балансирует условия сделки. Разумеется, что суммы векселей при этом несколько повысятся. В свою очередь, d* представляет собой барьерное значение учетной ставки.
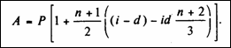
Вариант б. Рассмотрим теперь метод расчета корректирующего множителя для случая, когда сумма векселя определяется по варианту б. Что интервалы между датами погашения векселей одинаковые, применяются простые ставки процентов по кредиту и учетные ставки. По определению
(11)
После ряда преобразований этого выражения получим
(12)
Сумму в квадратных скобках обозначим Z2. Смысл этого множителя раскрыт выше. Корректирующий цену множитель в этом случае равен 1/Z2.
Рис. 1 Рис. 2
В зарубежной финансовой литературе был предложен иной корректировочный множитель, а именно:
где t и Т— средние сроки начисления процентов и векселей. Указанные средние сроки несколько различаются, так как при их расчете применяются разные методы: величина t определяется как простая средняя из сроков платежей; Т — как средняя взвешенная этих же сроков с весами, равными Vr. Можно доказать, что данный метод определения корректировочного множителя дает точно такой же результат, как в случае, когда суммы векселей определяются методом б.[15,с.65]
Проследим теперь зависимость корректировочных множителей от каждого из параметров, характеризующих условия сделки, — i, d и /n. Обозначим эти множители как Z. При увеличении i множитель Z уменьшается. Этот процесс более заметен при низких значениях i, чем при высоких. На рис. 1 показана зависимость Z от i.
Влияние изменения учетной ставки противоположно влиянию динамики ставки процентов. С ростом d коэффициент Z увеличивается. На рис. 2 показана зависимость Z от d при фиксированных значениях i и n.
Что же касается влияния числа платежей п на множитель Z, то очевидно, что при i<d рост n приводит к уменьшению Z и необходимость в корректировке условий для продавца возрастает.
Из сказанного следует, что для того, чтобы условия сделки не приводили к необходимости значительного увеличения исходной цены, продавец должен стремиться уменьшить отрицательный разрыв между ставкой процентов и дисконтной ставкой. По крайней мере он заранее должен учитывать неблагоприятное воздействие условия i < d.
Перейдем теперь к корректировке условий сделки с помощью изменения ставки процентов за кредит. Такая корректировка для варианта а была сделана выше (см. 10). Единственное значение i, при котором продавец не терпит убытки в варианте б, нетрудно определить из условия, согласно которому Z2 = 1. Для того чтобы удовлетворить это требование, необходимо выполнение равенства, которое следует из (12):
Решим его относительно i:
(13)
Таким образом, при любой ставке процентов, меньшей чем i*, и заданных Р, d и п продавец нуждается в корректировке условий, иначе он получит при учете векселя сумму, которая меньше оговоренной цены.
Аналогичным образом найдем значение d, при котором нет необходимости корректировать условия сделки. Получим:
(14)
Корректировка цены и ставки по кредиту приводит примерно к одинаковым конечным результатам, однако обычно наблюдается небольшое различие в сумме векселей. Для иллюстрации сказанного обратимся к примеру.
Анализ позиций покупателя и банка.
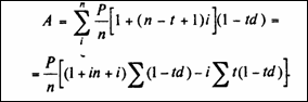
Совокупные издержки покупателя. Последовательность погашения векселей можно рассматривать как поток платежей. Совокупные издержки покупателя с учетом фактора времени, как известно, можно получить, рассчитав современную величину этого потока платежей. В (2) было показано, что сумма векселя может быть получена двумя путями: вариант а — проценты по кредиту начисляются на остаточную сумму долга, вариант б — проценты начисляются на сумму погашения основного долга по векселю. Определим совокупные издержки покупателя для этих двух вариантов с учетом того, что условия сделки сбалансированы, т.е. с необходимой корректировкой цены с помощью множителя 1/Z1.
Вариант а. Для этого варианта современная величина платежей по векселям составит
(15)
где v — дисконтный множитель по рыночной ставке q.
Формула (15) предполагает, что цена товара не скорректирована. Величину W1 можно рассчитать и при условии, что цена товара уже уточнена, тогда отпадает необходимость в корректирующем множителе 1/Z1.
Вариант б. При начислении процентов на сумму векселя получим
(16)
Как видим, такой способ начисления процентов при условии, что q > /, дает сумму совокупных издержек, которые немного меньше, чем при варианте а.
Минимизация издержек. Очевидно, что величина W. зависит от таких параметров сделки, как n, i, Zj при заданном значении q. В свою очередь параметр г; зависит от п, i и, что важно, от учетной ставки d (см. примеры 8 и 12). Для того чтобы продолжить анализ и проследить полное влияние факторов, вернемся к выражениям (15) и (16). Раскроем скобки в формуле (15) и получим:
