Финансовые аспекты управления оборотными средствами предприятия
Объемы товарно-материальных запасов также связаны со ставками доходного процента. По мере увеличения доходной ставки процента оптимальный объем товарно-материальных запасов уменьшается.
Возникает дилемма: будет ли более прибыльным продавать имеющиеся товарно-материальные запасы на прежних условиях, или продавать их после дополнительной обработки. Например, предположим, что товарно-материальные запасы могут быть проданы за 4000 грн или за 8000 грн, если они были пущены в дальнейшую обработку, оцениваемую в 2000 грн. Последний вариант должен быть предпочтительным: дополнительная обработка принесет прибыль в размере 6000 грн.
Количественная скидка
Предприятие может получить количественную скидку при закупке больших партий товара. Скидка уменьшает стоимость материалов.
ПРИМЕР 4.1
Предприятие покупает 1000 единиц изделий по цене прейскуранта 1 грн. за единицу. Скидка на количество составляет 5 процентов. Чистая стоимость изделия определяется следующим образом:
|
Стоимость закупки (1000 х 1 грн) |
1000 грн |
|
Минус: Скидка (0,05 х 1000 грн) |
50 |
|
Чистая стоимость |
950 грн |
4.1. Инвестиции в товарно-материальные запасы
Вам следует рассчитывать среднюю величину инвестиции в товарно-материальные запасы, которая равна отношению среднего остатка товарно-материального запаса к себестоимости единицы продукции.
Пример 4.1.1
Предприятие размещает заказ на 5000 единиц в начале года. Каждая единица стоит 1 грн. Средняя инвестиция составляет:
Средний товарно-материальный запас* 2500 единиц
Цена единицы в гривнах 1 грн.
Средняя инвестиция 2500 грн.
* - Количество (О)/2=5000/2=2500
Для получения среднего значения, следует прибавить начальный остаток к конечному остатку и разделить на 2. Это даст среднее значение. Чем чаще компания размещает заказ, тем ниже средняя инвестиция.
Определение складских расходов и расходов на подготовку заказа.
Необходимо определить расходы, связанные с планированием, финансированием, регистрацией и контролем товарно-материальных запасов. Поскольку стоимость товарно-материальных запасов известна, можно рассчитать сумму своевременного финансирования.
Расходы по хранению товарно-материальных запасов включают складирование, обработку, страхование, имущественные налоги и альтернативную стоимость содержания товарно-материальных запасов. Предварительная оценка стоимости испорченного или устаревшего запаса также должна быть включена в данный анализ. Чем больше товарно-материальных запасов, тем больше стоимость их содержания. Стоимость содержания определяется:
, где
- среднее количество,
С - стоимость хранения единицы товара
Знание стоимости хранения товарно-материальных запасов поможет определить, какую из позиций товара следует держать на складе.
Стоимость заказа товара — это стоимость размещения заказа и получения товара. Они включают в себя транспортные и конторские расходы, связанные с размещением заказа. Для минимизации расходов по размещению заказов следует свести количество размещаемых заказов к минимуму. В том случае, если продукцию необходимо изготавливать, то в стоимость размещения заказа также включается стоимость планируемого изготовления. Стоимость заказа составляет:
, где
S — общее потребление;
Q — заказанное количество
P — стоимость размещения заказа.
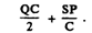
Общая стоимость товарно-материальных запасов, следовательно, составляет:
Знание стоимости заказа помогает определить число заказов, которые можно разместить за определенный срок, чтобы удовлетворить потребности предприятия.
Некоторое равновесие существует между стоимостью размещения заказа и стоимостью хранения товарно-материальных запасов. Большое количество заказанного товара увеличивает стоимость его хранения, однако понижает его стоимость.
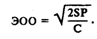
Экономически обоснованный объем заказа (ЭОО) является оптимальным стоимостным выражением товара, необходимого для заказа каждый раз, для минимизации общей стоимости товарно-материальных запасов. ЭОО-анализ следует применять для любого вида товара, который представляет существенный объем из общей суммы продаж.
Модель ЭОО предполагает, что:
— спрос постоянный и хорошо изучен;
— использование товарно-материальных запасов линейно и неизменно;
— не предоставляется никаких количественных скидок;
Рис. 4.1.1 графически показывает точку ЭОО
| |
Пример 4.1.2
S - 500 единиц в месяц Р = 4 грн за заказ С = 4 грн за единицу.
Количество ежемесячных заказов составляет:
Следовательно, заказы должны размещаться каждые шесть дней (31/5).
выводы
Для увеличения движения денежных средств следует ускорить инкассацию денег и максимально отсрочить денежные платежи. Управление дебиторской задолженностью требует принятия решений — стоит ли предоставлять кредит и кому, на каких условиях и на какую сумму. Соответствующая сумма инвестирования в товарно-материальные запасы может изменяться ежедневно и нуждается в тщательной оценке. Непрофессиональное управление товарно-материальными запасами приведет к потери прибыли от неиспользованных средств, замороженных в дебиторской задолженности. Накапливание товарно-материальных запасов связано с определенным риском, например устареванием товаров. Но чрезмерно низкий товарно-материальный запас снижает прибыль из-за уменьшения объемов продаж.
Используемые сокращения
ГП - готовая продукция.
МБП - малоценные и быстроизнашиваемые предметы.
НВП - незавершенное производство.
ПЗ - производственные запасы.
ПСД - предварительно согласованное дебетование.
УПО - ускоренный почтовый ответ.
ПСЧ - предварительно согласованные чеки.
ДПЧ - денежно-переводные чеки.
НБС - нулевой балансовый счет.
ЭОО - экономически обоснованный объем заказа.
СПИСОК ИСПОЛЬЗОВАННОЙ ЛИТЕРАТУРЫ
1. Баканов М.И., Шеремет А.Д. Теория экономического анализа. - М.: Финансы и статистика, 1993.
