Оптимизация химического состава сплава
2.2.3. Определение коэффициентов регрессии
b0 =(6,7+5,5+9,85+6,2)/4=7,0625
b1 =(6,7+5,5-9,85-6,2)/4=-0,9625
b2 =(6,7-5,5+9,85-6,2)/4=1,2125
b3 =(6,7-5,5-9,85+6,2)/4=-0,6125
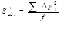
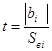
2.2.4.Проверка значимости коэффициентов регрессии
;
;
;
;
tтабл. = 2,26; t3< tтабл. , t2< tтабл., т.е. эти коэффициенты незначимы.
2.2.5. Проверка адекватности математической модели
Y1=7,0625+1,2125=8,275
Y2=7,0625-1,2125=5,85
Y3=7,0625+1,2125=8,275
Y4=7,0625-1,2125=5,85
Критерий Фишера:
; Fрасч. <Fтабл.
Математическая модель адекватна.
2.2.5. Переход от кодированных переменных к натуральным
2.3. Расчет уравнения для С, Si, предела прочности
2.3.1. Составление матрицы планирования
Таблица 7
Матрица планирования
|
N | x1 | x2 | x1x2 | Y3 |
|
| 1 | 1 | 1 | 1 | 1079 | 1079 |
| 2 | 1 | -1 | -1 | 1030 | 1044,5 |
| 1059 | |||||
| 3 | -1 | 1 | -1 | 1028 | 1024,5 |
| 1010 | |||||
| 1040 | |||||
| 1020 | |||||
| 4 | -1 | -1 | 1 | 1020 | 1028 |
| 1030 | |||||
| 1010 | |||||
| 1040 | |||||
| 1040 |
3.2.Вычисление дисперсии воспроизводимости
Таблица 8
Опыты в центре плана
|
N |
X1 |
x2 |
y2 |
|
|
3 |
0,77 |
0,32 |
1010 |
1006,5 |
|
96 |
1010 | |||
|
118 |
1030 | |||
|
138 |
1001 | |||
|
215 |
991 | |||
|
237 |
1001 | |||
|
257 |
991 | |||
|
334 |
1010 | |||
|
356 |
1001 | |||
|
376 |
1020 |
