Химия каренов
Так, в условиях кислотного катализа каран-5-ол (6) и каран-2-ол (7) изомеризуются в м- (8) и п-ментен-8-олы (9) соответственно в результате атаки гидроксила по атому С(8) гомоаллильных ионов 10 и 11.21,22 Эти реакции можно рассматривать как региоспецифичные.
Подобным же образом протекает дезаминирование 5- (12)- и 2-аминокаранов (13), однако присутствие среди продуктов бициклических спиртов показывает, что в данном случае реакция не была доведена до конца.23
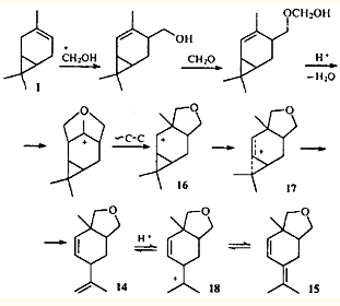
Гомоаллильные перегруппировки могут сочетаться с другими ионными перегруппировками. Так, при конденсации 3-карена с формальдегидом по Принсу среди продуктов реакции обнаружены два циклических эфира 14 и 15. Их образование объясняется последовательным протеканием перегруппировки типа Вагнера — Меервейна и гомоаллильной.24-25
В данном случае перегруппировка Вагнера-Меервейна, протекающая как алкильный сдвиг, не приводит к изменению карановой структуры. Однако алкильный сдвиг возможен лишь потому, что в образующемся вторичном ионе 16 делокализация заряда с участием циклопропанового кольца приводит к его раскрытию и образованию гомоаллильного иона 17, обладающего меньшей энергией. Ион 17 стабилизируется путем выброса протона от одной из геминальных метильных групп, давая эфир 14. В кислой среде этот эфир изомеризуется в эфир 15 через классический катион 18.
2. Перегруппировки, протекающие через ионы с высокой степенью делокализации заряда
Очевидно, что в систему ЦПК - заряженный атом углерода может включаться одна или несколько двойных связей. Образующийся при этом гомопентадиенильный ион характеризуется большей степенью делокализации заряда, чем гомоаллильный, и имеет, соответственно, более низкую энергию. Поэтому реакции с участием гомопентадиенильных ионов протекают легче, чем с участием гомоаллильных. Изомеризация 4-карен-3-ола (19) в гидроксидиен 20 происходит при кипячении в воде даже в отсутствие кислотных катализаторов:26
Как и при изомеризации соединений 6 и 7, необратимость атаки по циклопропановому фрагменту иона 21 обусловливает региоспецифичность реакции.
Следует отметить, что соседство (и, возможно, сопряжение) двойной связи и ЦПК в нейтральной молекуле не является обязательным условием образования гомопентадиенильного иона и, следовательно, протекание скелетной перегруппировки. С точки зрения механизма интересна селективная изомеризация кар-3-ен-5-ола (22) в м-мента-1,3-диен-8-ол (20): двойную связь и ЦПК объединяет в систему сопряжения возникающий между ними карбокатаонный центр.27
В систему сопряжения катионоидный центр - ЦПК может включаться не только соседняя двойная связь, но также и второй трехчленный карбоцикл. Участие такого интермедиата в реакции приводит к перегруппировке трициклооктанового скелета в замещенный циклогептадиен.28 Эта перегруппировка интересна тем, что в данном случае гем-дихлорциклопропановое кольцо раскрывается по внутренней связи, а гем-диметилциклопропановое — по внешней.
Из приведенных выше примеров ионных перегруппировок видно, что для гем-диметилциклопропанового кольца раскрытие по внешней связи является закономерностью, практически не знающей исключений. Трехчленный цикл, связанный с двумя атомами галогена, напротив, может вести себя по-разному. При метанолизе аддукта 3-карена с дибромкарбеном ЦПК раскрывается по двум направлениям, приводя к продуктам как с сохранением карановой структуры, так и к продуктам перегруппировки.29
То, что трехчленные циклы в ионных реакциях раскрываются по разным связям, может быть обусловлено природой геминальных заместителей. гем-Диметильная группировка укорачивает (и усиливает) противолежащую связь циклопропана,30 а два геминальных атома хлора удлиняют и ослабляют ее. Геминальные атомы брома действуют таким же образом, но слабее.31
Чрезвычайно легко протекает ацетолиз тозилата 23;32 в данном случае интермедиатом является гомогептатриенильный ион 24, в котором степень делокализации заряда еще выше, чем в гомопентадиенильном.
Выше было сказано, что гомоаллильные и гомопентадиенильные перегруппировки являются необратимыми, однако это утверждение не совсем корректно. Действительно, подобные превращения карановых производных можно провести со 100%-ной степенью конверсии. Это обусловлено геометрией иона и образующейся молекулы. Атом углерода ЦПК при С(2), не включенный в цепь сопряжения, в гомоаллильном ионе, в процессе его стабилизации меняет гибридизацию с sp2 на sp3 При этом угол С(1)—С(2)—С(3), равный в молекуле циклопропана 60°, в конечной молекуле увеличивается до 109°, что вызывает, в свою очередь, увеличение расстояния между атомами С(1) и С(3). Однако если эти атомы удастся каким-то образом сблизить, вновь становится возможным образование гомоаллильного иона.
На практике соединения с ментановым скелетом никогда не превращаются в карановые. Однако именно в карановых структурах, благодаря особенностям их строения, можно наблюдать ретро-гомоаллильную перегруппировку, при которой гомоаллильный ион образуется из линейного фрагмента молекулы и приводит к замыканию трехчленного цикла. Эффект подобного рода наблюдался при взаимодействии тозилата 25 с лчтийалюминийгидридом,33 триэтилалюминием,34 а также при его сольволизе.35
Очевидно, что в идеальном случае эта реакция должна протекать по механизму SN1. Однако скорее всего в реакции участвуют контактные ионные пары: происходит очень сильная поляризация субстрата с почти полным разделением зарядов, но образовавшийся катион стабилизирован противоионом. Отщепление тозилатной группы в соединении 25 приводит к катиону с зарядом на первичном атоме углерода, который гораздо менее стабилен, чем третичные ионы, образующиеся при протонировании ЦПК. Стабилизация иона может осуществляться путем сопряжения заряженного атома с двойной связью, причем перекрывание p-орбиталей происходит не вдоль σ-связи, а через пространство ("through space").
Сближению этих фрагментов способствует тесное сольватное окружение, поскольку процесс должен происходить быстро. Этот путь приводит к образованию гомоаллильного иона 26 и/или дигомопентадиенильного иона 27. В том случае, когда интермедиатом является ион 27, происходит совершенно необычная перегруппировка: фактически одна молекула претерпевает одновременно две перегруппировки различной направленности — гомоаллильную, приводящую к раскрытию циклопропанового кольца, и ретро-гомоаллильную, приводящую к замыканию нового трехчленного карбоцикла.
