Химия каренов
Есть и еще одно отличие аллильных фотохимических перегруппировок β,γ-ненасыщенных кетонов от аналогичных циклопропильных. Аллильная перегруппировка считается согласованным процессом.45 Но превращение каранонов 44 и 45, по мнению авторов,44 не может быть согласованной реакцией, по крайней мере об этом свидетельствует образование эпимерных циклобутанонов.
Направление скелетной фотохимической перегруппировки терпеноидов ряда карана зависит от ориентации заместителей: прямое облучение транс-3-метокси-4-каранона (54) в этаноле протекает с раскрытием шестичленного цикла по связи С(3)—С(4) (что для β,γ-циклопропилкетонов бывает крайне редко) и присоединением этанола.39
В случае цис-3-метокси-4-каранона (55) с экваториальной метоксигруппой наблюдается исключительно элиминирование II типа по Норришу и образование каранона 44; требуемое плоское шестичленное переходное состояние (ПС) А легко достижимо, и образование кетона 44 успешно конкурирует с расщеплением связи С(3)—С(4).39
Кетон 44 под действием света подвергается гомолитическому разрыву связи С(4)—С(5) и гомоаллильной перегруппировке, характерной для β,γ -циклопропилкетопов.44,46 При этом образуются циклопентанон 56 и циклобутанон 57.
Таким образом, перегруппировки карановых монотерпеноидов под действием света можно разделить на две группы: перегруппировки, в которых в качестве хромофора выступают элементы углеродного скелета — циклопропан и двойная связь, — и перегруппировки, в которых хромофором является функциональный заместитель. Применение сенсибилизаторов приводит к перегруппировкам первого типа с образованием производных бицикло[3.2.0]гептана. Воздействие облучения в отсутствие сенсибилизатора, как правило, приводит к перегруппировкам второго типа, при этом возможны разрыв большого или малого циклов, сужение большого цикла или образование трициклической структуры. Направление реакции в каждом конкретном случае определяется природой и положением заместителя, являющегося хромофором.
IV. Согласованные реакции
Если ионным реакциям соединений каранового ряда посвящено множество работ, которые неоднократно систематизировались, то согласованные превращения значительно менее исследованы, и обобщение этого материала до сих пор не делалось. Справедливости ради следует отметить, что далеко не все реакции, которые формально относятся к согласованным, оказываются таковыми в действительности. Например, в случае 2,4-карадиена (58) 1,5-термический сдвиг формально является согласованной сигматропнои реакцией. Однако, во-первых, она протекает не через циклическое ПС (с одновременным разрывом и образованием связей С—С), а через дирадикальный интермедиат, а во-вторых, по сути, она не является сигматропным процессом. Иногда согласованный механизм осуществляется через сильно поляризованное ПС или сопряжен с ионным механизмом. Обзор подобных реакций карановых монотерпеноидов особенно интересен потому, что именно в них иногда осуществляются уникальные превращения, характерные только для этих соединений (например, перегруппировка Берсона-Вилькотта 47). Исследование согласованных реакций существенно расширяет наши представления о механизмах химических реакций вообще.
1. Интерконверсия норкарадиен - циклогептатриен
Одно из интереснейших скелетных превращений карановых структур — перегруппировки, связывающие терпеноиды ряда карана и ряда 1,1,4-триметилциклогептана, — привлекло внимание исследователей и привело к открытию такого замечательного явления в органической химии, как "быстрое" равновесие норкарадиен - циклогептатриен. Этой теме посвящено большое количество работ последней трети двадцатого века.47-55 Быстрое равновесие валентных таутомеров норкара-2,4-диена (59) и циклогепта-1,3,5-триена (60) обусловлено типично согласованной реакцией — дисротаторным раскрытием и замыканием трехчленного карбоцикла, причем этот процесс подчиняется правилам сохранения орбитальной симметрии, сформулированным Вудвордом и Гофманом.56
Для незамещенного углеводорода (R1 = R2 = H) это равновесие настолько сдвинуто в сторону моноциклического таутомера 60, что норкарадиен не удавалось обнаружить никакими физическими методами. Его существование постулировали на основании поведения замещенных аналогов (R1 = CN, R2 = CF3; R1 = CO2Me, R2 == Ph; R1 = CO2Me, R2 = C6H4OMe-4), которые в виде равновесных смесей с соответствующими циклогептатриенами обнаружены при исследовании последних методом низкотемпературного ЯМР.55 Только в 1981 г., четверть века спустя после появления гипотезы о валентной таутомерии циклогептатриена, удалось зафиксировать незамещенный норкарадиен при низкотемпературном (77 К.) фотолизе трицикло[3.2.2.02,4]нон-6-енди-8,9-она.57
Экспериментально установлено, что бициклическую структуру способны стабилизировать π-акцепторные заместители в положении 7.55 Природу такой стабилизации изящно объяснил Р.Гофман в рамках метода граничных МО.53 Очевидно, что метальные заместители стабилизаторами быть не могут, и поэтому для системы 2,4-карадиен (58) — 3,7,7-триметилциклогепта-1,3,5-триен (61) равновесие всегда сдвинуто в сторону моноциклического партнера. Однако эти валентные таутомеры — все-таки разные, реально существующие соединения; они обладают различной реакционной способностью, что должно проявляться (и проявляется, как будет показано ниже) в химических реакциях.
Перегруппировки, обусловленные описанной выше валентной таутомерией, будут обсуждены более подробно, чем ионные, поскольку в отечественной научной литературе проблема таутомерии норкарадиена практически не рассматривалась. К сожалению, даже исследователи, работающие в области химии терпеноидов, привлекают для объяснения расширения каранового скелета до циклогептанового недостаточно обоснованные гипотезы.12,58
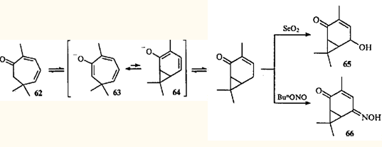
Перегруппировка циклогептатриен — норкарадиен была обнаружена при изучении химических превращений эйкарвона (2,6,6-триметилциклогепта-2,4-диенона (62)) — терпеноида, впервые синтезированного Байером,59 но впоследствии обнаруженного в эфирных маслах различных растений.60
Гипотеза о валентной таутомерии моно- и бициклических енолов 63 и 64, как возможное объяснение скелетной перегруппировки кетона 62 при образовании 3,7,7-триметил-5-гидрокси-3-карен-2-она (65) и 3,7,7-триметил-5-оксиимино-3-карен-2-она (66), была выдвинута в 1956 г.61,62 Впоследствии оказалось, что гораздо более распространенными являются перегруппировки карановых производных в триметилциклогептановые, поскольку равновесие в динамическом взаимопревращении двух таутомеров сильно сдвинуто в сторону моноциклического партнера.63
