Химия каренов
В оксиде 111 функциональная группа имеет на одно звено меньше, чем в эфирах 107-109, за счет чего появляется возможность образования пятичленного (но шестиэлектронного, т.е. по-прежнему ароматического) ПС, меньшего по размерам, в котором атом С(4) имеет скошенную конформацию.
Несомненно ПС термического разложения эфиров сильно поляризовано; структура ПС зависит от природы образующих его атомов. Поэтому ацетат, борат, тозилат спирта 36 проявляют в этой реакции различную реакционную способность. На реакционной способности сказывается даже вторичное влияние гетероатомов: ацетат и аминоацетат претерпевают 1,5-гомодиенильный сдвиг, термолиз тозилата происходит при 90°С, хлорацетата — при 180°С. моно-, ди- и трехзамещенных боратов — при 225, 282 и 380°С соответственно.113
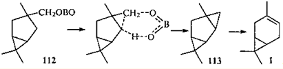
Борный эфир 112, в котором заведомо невозможно 1,2-элиминирование, пиролизуется с образованием 3-карена (1). Предполагают, что последний образуется в результате кислотной изомеризации первоначального продукта пиролиза — трициклического углеводорода 113. Ни один из опробованных в этой реакции эфиров 3,6,6-триметилбицикло[3.1.0]гекс-3-илметанола (тозилат, ацетат, амино- и хлорацетаты) не вел себя подобным образом.
В разделе II.2 мы отмечали, что сольволиз тозилатов 25 и 28 приводит к одному и тому же продукту 29.36 При пиролизе этих соединений также образуется один и тот же продукт реакции. 30, правда пиролиз эфира 28 происходит при более высокой температуре (180-200°С), чем эфира 25(70 - 100°С). В качестве возможного объяснения такого результата мы предполагаем предварительный 1,3-сдвиг тозилоксиметильной группы, который происходит при высокой температуре. Подобный сдвиг ацильной группы наблюдался при фотолизе кетона 4243 (см. раздел III).
4. Ионные реакции и валентная таутомерия
Выше уже упоминались ионные превращения карановых монотерпеноидов (например, соединений 74 и 76), приводящие к образованию 2,4-карадиеновой структуры, которая в результате электроциклического раскрытия трехчленного цикла перегруппировывается в триметилциклогептатриеновую. Скелетная перегруппировка в этих случаях происходит за счет валентной таутомерии. Для соединений ряда карана, имеющих более сложный углеродный скелет, возможны ионные пере группировки другого типа в результате которых образуются структуры, склонные к таутомерным превращениям.
Так. аддукт 3-карена с дибромкарбеном при действии суперосновной системы KOR-DMSO (R=Н, But) селективно дегидробромируется с образованием 1,8,8-триметил-5-метиленциклоокта-1,3,6-триена (114).114 При уменьшении конценграции дегидробромирующего агента из реакционной смеси были выделены и идентифицированы и другие продукты, что позволило предложить схему перегруппировки.115
Отщепление первой молекулы бромистого водорода сопровождается изомеризацией трехчленного цикла с образованием бромидов 115 и 116. Бромид 115 с сохраненным карановым скелетом образуется в результате раскрытия трехчленного цикла по внешней связи и не подвергается дальнейшим превращениям под действием системы KOH-DMSO. Соединение 116 изомеризуется, давая бромид 117. в котором имеется цис-дивинилциклопропановая система. В нем происходит перегруппировка Коупа116 путем согласованного раскрытия ЦПК. приводя к валентному таутомеру 118. Дегидробромирование соединения 118 ведет к циклопропену 119, который изомеризуется в более устойчивое циклооктатриеновое производное 120. Последнее в условиях реакции метилируется димсил-анионом.
В ходе этой реакции происходит еще одна согласованная перегруппировка. Бромид 121 образуется в результате 1,5-гомодиенильного сдвига; дальнейшая ионная изомеризация этого соединения приводит к бромидам 122 и 123.
5. Сигматропные сдвиги в заряженных системах
Весьма интересны превращения карановых структур под действием суперкислот. В суперкислых средах увеличивается время жизни карбокатионов, что делает возможным их более глубокие вторичные превращения и вовлекает в перегруппировки все возможные реакционные центры: ЦПК. Двойные связи (если они есть), функциональные группы. Одна из таких возможностей — сигматропные сдвиги водорода или алкильных групп. При этом образуются новые катионы, каждый из которых имеет собственную судьбу. Естественно, что разнообразие интермедиатов, участвующих в этих перегруппировках, обеспечивает и разнообразие продуктов реакции.
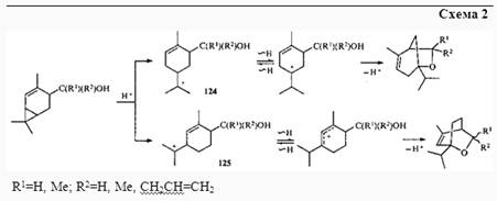
При взаимодействии спирта 36 и его производных с суперкислотной системой HSO3F—SO2FCl была получена смесь продуктов, образование которых объясняется сигматропными сдвигами в первоначально возникающих ионах 124 и 125 (схема 2).36
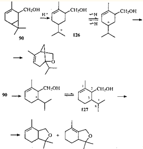
Подобным образом протекает перегруппировка изомерного спирта 90.36
Для осуществления циклизации такого типа требуется 1,2-водородный сдвиг в п-ментеновом ионе 126, так как атом кислорода гидроксиметильной группы удален от атома С(8), на котором возникает первоначальный заряд. В том случае, когда атом кислорода гидроксиметильной группы находится ближе к атому С(8), циклизация происходит через первоначально образующийся м-ментеновый ион 127. Конечно, 1,2-сдвиг происходит и в ионе 127, но атомы кислорода и углерода С(3) (на котором после сдвига сосредоточен положительный заряд) слишком сближены, поэтому циклизация не может осуществиться из-за стерического напряжения.
Циклизация диола 128 происходит без предварительного водородного сдвига через п-ментановый ион 129, в котором атом кислорода находится ближе к заряженному атому углерода, чем в ионе 126. При этом происходит селективное раскрытие циклопропанового кольца по связи С(1)—С(7); причина такой селективности пока не выяснена.36
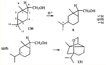
Трициклический спирт 130 перегруппировывается в суперкислотной среде с раскрытием связи С(4)—С(5) с образованием соединения 131. Циклизация осуществляется за счет 1,2-сдвига водорода в катионе А.36
Перегруппировка спирта 130 примечательна тем, что его молекула имеет два трехчленных цикла, но под действием суперкислоты раскрывается только один из них. Это может быть связано с разницей энергий ВЗМО обоих циклопропановых фрагментов, имеющих различные заместители, хотя электростатическое влияние гидроксиметильиой группы на процесс, который контролируется зарядом, кажется неожиданно большим.
