Химия каренов
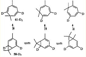
Следует отметить, что механизм сдвига не позволяет считать перегруппировку гептатриена 61 в полном смысле согласованной, ибо она протекает через дирадикальный интермедиат при температурах ~ 400°С. В процессе перегруппировки происходит перемещение циклопропановой связи, которая в исходной молекуле не является σ-связью, что тоже не позволяет считать перегруппировку сигматропной. Тем не менее довольно долго полагали, что перегруппировка триена 61 полностью отвечает правилам отбора для согласованных сигматроппых миграций алкильных групп, т.е. протекает как супраповерхностная с сохранном конфигурации мигрирующей группы. Изящные работы Клернера с соавт.102-104 полностью опровергли эти представления: заменив одну из метильных групп алкоксикарбонильной, нитрильной или алкоксиалкильной, он доказал, что перегруппировка протекает с обращением конфигурации, т.е. по "запрещенному" пути.
Недавно в вышедших почти одновременно теоретических работах 105,106 это явление было объяснено на основании расчетов ab initio. В случае незамещенного норкарадиена 102 в дирадикальном ПС А запрещенного термического 1.5-алкильного сдвига метиленовая группа с неспаренным электроном находится несколько дальше от шестичленного кольца, чем в ПС В разрешенного сдвига, что понижает энергию ПС запрещенного сдвига на ~ 4 кДж•моль-1 (см.105).
Переходные состояния C и D для 1,5-сдвига в цис- (103) и транс-7-циано-7-метилноркарадиенах (104), протекающего с обращением конфигурации (и поэтому запрещенного), на 12 и 13 кДж•моль-1 соответственно более предпочтительны, чем ПС Е аналогичного сдвига с сохранением конфигурации (и поэтому разрешенного). Расстояние между атомами водорода метильной группы и цикла в запрещенных ПС С и D на 0.12 и 0.37Å меньше, чем в разрешенном ПС Е.106
Можно сделать вывод, что при протекании сигматропной перегруппировки через дирадикальный интермедиат стерический фактор может доминировать над электронным, что и приводит к нарушению фундаментальных правил сохранения орбитальной симметрии. Исследования, приведшие к этому поразительному результату, были начаты с изучения терпеноидов — триеиа 61 и его валентного таутомера диена 58.
3. Термическое элиминирование
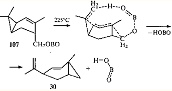
При попытке дегидратировать спирт 36 с помощью борной кислоты вместо ожидаемого диена 79 была получена смесь углеводородов 30,105 и 106.107
Позже было установлено, что эти углеводороды образуются также при термическом разложении моно-, ди- и тризамещенных эфиров борной кислоты и спирта 36 (промежуточных продуктов описанной выше дегидратации), причем первоначально образуется бициклический углеводород 30; были идентифицированы и другие продукты его превращения.108 Подобным же образом реагировали тозилат и хлорацетат спирта 36; ацетат и аминоацетат претерпевали 1,5-гомодиенильный сдвиг.109
Термическое разложение сложных эфиров — хорошо изученная реакция, которая является одним из способов получения олефинов за счет отщепления кислотного остатка и атома водорода, связанного с β-углеродным атомом. Элиминирование протекает через циклическое шестиэлектронное (ароматическое) ПС. Однако в случае спирта 36 и его производных пиролиз происходит не с образованием двойной связи, а с разрывом одной из связей гем-диметилциклопропанового кольца с одновременным замыканием нового трехчленного карбоцикла. С целью изучения механизма такой необычной перегруппировки были проведены дополнительные исследования: изучена кинетика термического разложения тозилата 25 в пиридине37 и его сольволиз.35
Эти исследования позволили предположить механизм перегруппировки.37 Она протекает как согласованная, через ароматическое переходное состояние, но, в отличие от классического шестиэлектронного, это ПС является десятиэлектронным. Хотя гипотеза о десятиэлектронном ПС ранее в органической химии не использовалась, она не имеет принципиальных внутренних противоречий. Недавно методом B3LYP/6-31G* было рассчитано десятичленное ПС для [5,5]-сигматропной перегруппировки Коупа.110 Расчет методом функционала плотности показывает, что десятичленное ПС может быть неплоским, сохраняя при этом свою ароматичность.111
Причиной такого необычного пути реакции является пространственный фактор. Для образования шестичленного ПС при элиминировании элементов кислоты кислотный остаток в эфире 107 должен иметь заслоненную конформацию по отношению к атому водорода Н(4). Это создает возможность сближения атома кислорода кислотного остатка и одного из атомов водорода эндо-метильной группы, связанной с циклопропановым кольцом, и обеспечивает участие винилциклопропанового фрагмента в образовании переходного состояния. Для выполнения условия ароматичности (соблюдения правила Хюккеля) требуется перекрывание p-орбиталей атомов, не являющихся соседними (С(3), С(11)). Образование циклопропанового кольца и одновременное преобразование винилциклопропанового фрагмента в 1,4-диеновую систему происходит в результате такого перекрывания через пространство.
Эта точка зрения получила экспериментальное подтверждение.37 Детальное исследование разложения эфиров 107-109 показало, что в этих реакциях образуются продукты разного состава. Так, среди продуктов пиролиза эфира 108 присутствовала также вода (3-5%).
→ 30 + 107 + H2O
Первая стадия пиролиза протекает как фрагментация молекулы диэфира 108 через десятичленное ПС 110. включающее гидроксильную группу. При этом образуются бициклический углеводород 30, вода и эфир 107. Далее эфир 107 разлагается по описанной выше схеме с образованием борной кислоты и второй молекулы углеводорода 30. Среди продуктов пиролиза эфира 109, помимо углеводорода 30 и продуктов его превращения, присутствовали 2- и 3-карены, ментадиены, а также спирт 36:
На первой стадии кроме углеводорода 30 образуется эфир 107, который разлагается по описанной схеме, и спирт 36. Последний в условиях реакции (380°С) частично деформилируется. давая 3-карен (1).91 Кислотная изомеризация этого терпена приводит к появлению среди продуктов 2-карена и ментадиенов.
Следует отметить, что при пиролизе N-оксида 111, который близок по строению эфирам 107-109, с количественным выходом образовался углеводород 79, содержащий экзоциклическую двойную связь.112 Этот результат можно рассматривать как косвенное доказательство решающей роли пространственного фактора в таких перегруппировках.
