Риск и планирование инвестиционных проектов
Как видно, анализ чувствительности до некоторой степени является экспертным (качественным) методом. Кроме того, главным недостатком данного метода является предпосылка того, что изменение одного фактора рассматривается изолированно, тогда как на практике все экономические факторы в той или иной степени коррелированны.
По этой причине применение данного метода как самостоятельного инструмента анализа риска на практике, по мнению ряда авторов, весьма ограничено, если вообще возможно.
Метод проверки устойчивости[39] предусматривает разработку сценариев реализации проекта в наиболее вероятных или наиболее «опасных» для каких-либо участников условиях. По каждому сценарию исследуется, как будет действовать в соответствующих условиях организационно-экономический механизм реализации проекта, каковы будут при этом доходы, потери и показатели эффективности у отдельных участников, государства и населения. Влияние факторов риска на норму дисконта при этом не учитывается.
Проект считается устойчивым и эффективным, если во всех рассмотренных ситуациях NPV положителен; обеспечивается необходимый резерв финансовой реализуемости проекта.
Степень устойчивости проекта по отношению к возможным изменениям условий реализации может быть охарактеризована показателями предельного (критического) уровня объемов производства, цен производимой продукции и других параметров проекта.
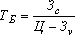
Предельное значение параметра проекта для некоторого t-го года его реализации определяется как такое значение этого параметра в t-ом году, при котором чистая прибыль участника в этом году становится нулевой. Одним из наиболее важных показателей этого типа является точка безубыточности, характеризующая объем продаж, при котором выручка от реализации продукции совпадает с издержками производства:
где зс - постоянные затраты, уровень которых напрямую не связан с объемом производства продукции;
– переменные затраты, величина которых изменяется с изменением объема производства продукции;
– цена единицы продукции.
Ограничения, которые должны соблюдаться при расчете точки безубыточности:
· объем производства равен объему продаж;
· постоянные затраты одинаковы для любого объема;
· переменные издержки изменяются пропорционально объему производства;
· цена не изменяется в течение периода, для которого определяется точка безубыточности;
· цена единицы продукции и стоимость единицы ресурсов остаются постоянными;
· в случае расчета точки безубыточности для нескольких наименований продукции соотношение между объемами производимой продукции должно оставаться неизменным.
Для подтверждения работоспособности проектируемого производства (на данном шаге расчета) необходимо, чтобы значение точки безубыточности было меньше значений номинальных объемов производства и продаж (на этом шаге). Чем дальше от них значение точки безубыточности (в процентном отношении), тем устойчивее проект.
Обычно проект считается устойчивым, если в расчетах по проекту в целом значение точки безубыточности не превышает 60–70 % от номинального объема производства после освоения проектных мощностей. Близость значения точки безубыточности к 100 %, как правило, свидетельствует о недостаточной устойчивости проекта к колебаниям спроса на продукцию на данном шаге.
Но даже удовлетворительные значения точки безубыточности на каждом шаге не гарантируют эффективность проекта (положительность NPV), т.к. при определении точки безубыточности в величине издержек обычно не включаются выплаты на компенсацию инвестиционных затрат, процентов по кредитам и т.д. В то же время высокие значения точки безубыточности на отдельных шагах не могут рассматриваться как признак нереализуемости проекта (например, на этапе освоения вводимых мощностей или в период капитального ремонта дорогостоящего высокопроизводительного оборудования они могут превышать 100 %).
Кроме того, данный метод не дает возможности провести комплексный анализ риска по всем взаимосвязанным параметрам, т. к. каждый показатель предельного уровня характеризует степень устойчивости в зависимости лишь от конкретного параметра проекта (объем производства и т. д.).
В какой-то мере избежать недостатков, присущих анализу чувствительности, позволяет метод сценариев, при котором одновременному непротиворечивому изменению подвергается вся совокупность факторов исследуемого проекта с учетом их взаимозависимости[40].
Метод сценариев предполагает описание опытными экспертами всего множества возможных условий реализации проекта (либо в форме сценариев, либо в виде системы ограничений на значения основных технических, экономических и прочих параметров проекта) и отвечающих этим условиям затрат, результатов и показателей эффективности.
В качестве возможных вариантов целесообразно построить как минимум три сценария: пессимистический, оптимистический и наиболее вероятный (реалистический, или средний).
Следующий этап реализации метода сценариев состоит в преобразовании исходной информации о факторах неопределенности в информацию о вероятностях отдельных условий реализации и соответствующих показателях эффективности или об интервалах их изменения.
На основе имеющихся данных определяются показатели экономической эффективности проекта.
Если вероятности наступления того или иного события, отраженного в сценарии, известны точно (вероятностная неопределенность), то ожидаемый интегральный эффект проекта рассчитывается по формуле математического ожидания:
где NPVi – интегральный эффект при условии реализации i-ого сценария, pi – вероятность этого сценария.
При этом риск неэффективности проекта (p3) оценивается как суммарная вероятность тех сценариев (к), при которых ожидаемая эффективность проекта (NPV) становится отрицательной.
Средний ущерб от реализации проекта в случае его неэффективности (y3) определяется по формуле:
Вероятностное описание условий реализации проекта оправдано и применимо, когда эффективность проекта обусловлена прежде всего неопределенностью природно-климатических условий (погода, характеристики грунта или запасов полезных ископаемых, возможность землетрясений или наводнений и т. п.) или процессов эксплуатации и износа основных средств (снижение прочности конструкций зданий и сооружений, отказы оборудования и т. п.).
В тех случаях, когда ничего не известно о вероятности отдельных сценариев (интервальная неопределенность) или реализация любого из них вообще не является случайным событием и не может быть охарактеризована в терминах теории вероятности, используется минимаксный подход, в частности, так называемый критерий оптимизма-пессимизма, предложенный Л. Гурвицем:
