Совершенствование и развитие ценовой стратегии предприятия
Цель ценообразования ООО «Ремкомплект» - максимизация прибыли и обеспечение доступности предлагаемых компанией товаров для широких слоев населения. Максимизация текущей прибыли обеспечивается путем оперативной и объективной оценки всех тенденций спроса.
Конкретно предприятию необходимо:
- просчитать на базе экономических ресурсов свои производственные возможности: максимальные объемы производства и продаж по всем видам деятельности;
- определить равновесные цены по предлагаемым товарам и услугам, а также «потолки» цен с учетом издержек и желаемых доходов в работе магазина ООО «Ремкомплект»;
- рассчитать предельные издержки и предельные доходы в целях определения оптимальной точки объемов производства предприятия;
- разработать проект долговременных стратегий, которые бы учитывали меняющиеся условия рынка (стратегическое планирование);
- регулярно осуществлять стратегический и оперативный аудит для выявления сильных и слабых сторон предприятия;
- разработать стратегию роста для включения в портфель новых товаров или услуг (стратегия завоевания рынка.) Освоение гарантийного обслуживания автомобилей в работе автосервиса ООО «Ремкомплект»;
- углубить маркетинговые исследования по измерению спроса, определив и выбрав целевые сегменты рынка с наиболее выгодным позиционированием товаров и услуг ООО «Ремкомплект»;
- принять решение о широте товарного ассортимента в связи с определением своей продукции на рынке (исключение неходового товара и заполнение ниши);
- выбрать стратегию маркетинга для товаров, пользующихся спросом с разным уровнем жизненного цикла товаров;
- расширить методику ценообразования на основе ценности товара и с учетом поведения конкурентов, наиболее гибко реагируя на состояние рынка;
- сформировать программу продвижения товара на рынке;
- рассмотреть целесообразность дополнительных каналов распространения товаров или услуг (расширение торговой сети на условиях розничной и оптовой продажи).
Выше рассмотренные мероприятия будут способствовать оптимизации и стабилизации общего и финансового состояния ООО «Ремкомплект», но потребуют дополнительных затрат на их разработку и внедрение, что должно быть учтено при составлении бюджета.
Опираясь на рекомендации по совершенствованию ценовой политики ООО «Ремкомплект», выделим несколько актуальных направлений для углубленного анализа и выработки проектных решений, в частности:
1) Расчет оптимального объема производства (анализ безубыточности);
2) Эффект от снижения издержек при закупке запасных частей у прочих поставщиков;
3) Эффект от снижения цены на ремонт автомобилей;
4) Эффект от пересмотра структуры заявок на отдельные виды продукции;
5) Эффект от дополнительных инвестиций в производство и освоение новых направлений деятельности.
Вышеприведенные направления расчетов позволяет определить предельные издержки и доходы фирмы; дополнительные выгоды (прибыль) от снижения закупочных цен; оптимальный вариант цен на ремонт автомобилей и в связи с этим размер дополнительных работ; увеличение выручки за счет пересмотра ассортимента запасных частей. В итоге предложен проект организации сервиса и гарантированному обслуживанию автомобилей на ближайшие четыре года с инвестированием в новое направление деятельности порядка пяти миллионов рублей.
3.2 Использование экономико-математического моделирования в управлении ценовой политикой ООО «Ремкомплект»
Построим модель оптимального объема производства, то есть оптимизации безубыточности для предприятия ООО «Ремкомплект».
Разработанный алгоритм нахождения данного интервала состоит из двух этапов:
на первом — строится аппроксимационная линейная модель зависимости спроса покупателей от цены на товар, опирающаяся на данные за два смежных периода времени;
на втором — определяются постоянные и переменные затраты, благодаря которым рассчитывается интервал безубыточности.
Обратимся к математической стороне модели, для чего примем, что деятельность фирмы характеризуется следующими показателями (см. табл. 20).
Таблица 20Исходные данные для построения модели
|
Смежные периоды времени, равные |
Физический объем продаж товаров, нат. Ед. |
Цена товаров, руб. |
Средняя себестоимость единицы товаров (удельная себестоимость), руб. |
|
2008 год |
y1 |
x1 |
z1 |
|
2010 год |
y2 |
x2 |
z2 |
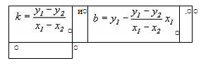
Допустим, что физический объем продаж товаров y(x) является линейной функцией от цены товаров x, то есть имеется следующая зависимость спроса от цены:
y(x)=kx+b, (11)
где y(x) — физический объем продаж товаров, нат. ед.;
х — цена товаров, руб/нат. ед.;
k и b — коэффициенты, связывающие между собой физический объем продаж и цену.
Рис.
Согласно данным таблицы 1, для коэффициентов k и b в этом случае справедливо:
Если является верным предположение, что покупательский спрос эластичен, то есть зависит от цены (а он часто именно таковым является), то, при прочих равных условиях, повышение цен приводит к сокращению спроса, а снижение цен, наоборот, к расширению спроса.
Это означает, что коэффициент k в выражении (11) будет отрицателен, а коэффициент b, наоборот, положителен (рис. 9). Подбор коэффициентов не представляет трудности, и при наличии фактических данных это можно сделать как с помощью калькулятора, так и программных средств (автор обычно использует Excel, предоставляющий пользователю одновременную возможность построения графика и получения уравнения регрессии).
Рисунок 9. Зависимость объема продаж от цены
Опираясь на модель нахождения переменных и постоянных затрат с использованием данных обычных бухгалтерских регистров — объема продаж и себестоимости, представим формулы для отыскания величин переменных и постоянных затрат применительно к обозначениям в таблице 20:
Рис.
где FC — постоянные затраты фирмы, руб.;
VC — переменные затраты фирмы, руб.;
[vc] — удельные переменные затраты товаров, руб./нат. ед.
Обычно точка безубыточности находится по следующей общепринятой формуле:
