Статистическое изучение основных фондов
3. Рассчитайте характеристики интервального ряда распределения: среднюю арифметическую, среднее квадратическое отклонение, коэффициент вариации.
По данным интервального ряда составим расчетную таблицу 3.
Таблица 3. Расчётная таблица
|
Группы предприятий по эффективности использования основных производственных фондов, млн. руб. |
Число предприятий в группе |
Середина интервала Xi |
|
|
|
0.9 – 0.98 |
3 |
0.94 |
0.0256 |
0.0768 |
|
0.98 – 1.06 |
7 |
1.02 |
0.0064 |
0.0448 |
|
1.06 – 1.14 |
11 |
1.1 |
0 |
0 |
|
1.14 – 1.22 |
5 |
1.18 |
0.0256 |
0.032 |
|
1.22 – и более |
4 |
1.26 |
0.0064 |
0.1024 |
3. 1. Находим середины интервалов Xi:
1) (0.9+0.98)/2=0.94; 2) (1.06+1.14)/2=1.1; 4) (1.14+1.22)/2=1.18; 5)
(1.22+1.3)/2=1.26
3. 2. Так как у нас имеются сгруппированные данные, представленные в виде интервального ряда распределения, то для нахождения средней арифметической и среднего квадратического отклонения будем использовать формулы для взвешенной средней:
где ∑fi – это общая численность единиц совокупности; ∑Xi * fi – это сумма произведений величины признаков на их частоты.
Следовательно,
Xар. взв. =(0.94*3+1.02*7+1.1*11+1.18*5+1.26*4)/30=1.1млн. руб.
![]()
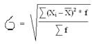
Для вычисления среднего квадратического отклонения необходимо вычислить некоторые составляющие формулы: (Xi – X)2 и (Xi – X)2 * f. (таблица 3).
1) (0.94-1.1)2 = 0.0256; 2) (1.02-1.1)2 = 0.0064; 3) (1.1-1.1)2 = 0; 4) (1.18-1.1)2 = 0.0064; 5) (1.16-1.1)2 = 0.0256.
1) 0.0256*3 = 0.0768; 2) 0.0064*7 = 0.0448; 3) 0*11 = 0;4) 0.0064*5 = 0.032; 5) 0.0256*4 = 0.1024.
Подставляем найденные значения в исходную формулу среднего квадратического отклонения, получаем:
млн. руб.
Теперь найдём коэффициент вариации:
Вывод: среднее значение эффективности использования основных производственных фондов предприятий в интервальном ряду по выборочной совокупности составляет 1.1 млн. руб. Значение эффективности использования основных производственных фондов отклоняется в среднем от этой средней величины на
0.094 млн. руб. Таким образом, среднее значение эффективности использования основных производственных фондов является типичным для данной совокупности предприятий, а сама совокупность – однородной по данному показателю, так как V < 33%.
4. Вычислите среднюю арифметическую по исходным данным, сравните её с аналогичным показателем, рассчитанным в пункте 3 для интервального ряда распределения. Объясните причину их расхождения.
где n – это число единиц совокупности, ∑X – сумма значений вариант.
Значение данной величины < значения средней арифметической взвешенной. Такие результаты в расчётах возможны в случае, если в интервальном ряду при расчёте средней взвешенной значение середины интервала Xi не совпадает с равномерным распределением этого интервального признака внутри группы, поэтому возникает расхождение.
Задание 2
По исходным данным:
1. Установите наличие и характер связи между признаками – выпуск продукции и эффективность использования основных производственных фондов, образовав пять групп с равными интервалами по обоим признакам, методами:
а) аналитической группировки,
б) корреляционной таблицы.
а) а.1. Построим аналитическую группировку по признаку - эффективность использования основных производственных фондов, (таблица 4)
Таблица 4. Аналитическая группировка по признаку - эффективность использования основных производственных фондов.
|
Группы предприятий по эффективности использования основных производственных фондов, млн. руб. |
Число предприятий в группе |
Эффективность использования основных производственных фондов, млн. руб. |
Выпуск продукции, млн. руб. | |||
|
всего |
в среднем в группе |
всего |
в среднем в группе | |||
|
0.9 - 0.98 |
3 |
2.8 |
2.8/3=0.933 |
56 |
56/3=18.667 | |
|
0.98 - 1.06 |
7 |
7.11 |
7.11/7=1.016 |
225.083 |
225.083/7=32.155 | |
|
1.06 - 1.14 |
11 |
11.99 |
11.99/11=1.09 |
474.945 |
474.945/11=43.177 | |
|
1.14 - 1.22 |
5 |
5.85 |
5.85/5=1.17 |
280.672 |
280.672/5=56.134 | |
|
1.22 - 1.3 |
4 |
5.06 |
5.06/4=1.265 |
283.84 |
283.84/4=70.96 | |
|
Итого: |
30 |
32.81 |
5.474 |
1320.54 |
221.093 | |
