Управление финансовыми ресурсами на предприятии ОАО Лениногорский завод АвтоСпецОборудование
По данным таблицы 6 и рисунка 3 можно сделать вывод, что в структуре оборотных средств предприятия значительную долю занимают запасы, в том числе незавершенное производство. Причем наблюдается рост этой доли в 2009 г. на 39,92 % по сравнению с 2007 г., в том числе незавершенное производство - на 55,46 %.
Произошло увеличение доли денежных средств за три года в 6 раз.
Из таблицы видим, что произошел рост дебиторской задолженности предприятия на 38,96 %, что указывает на то, что увеличилась отгрузка продукции покупателям и осуществляется ее хранение на складах.
После того как провели анализ активов и пассивов предприятия можно провести анализ финансовой устойчивости предприятия. Это осуществляется с помощью коэффициентов ликвидности. Но вначале необходимо определить тип текущей финансовой устойчивости предприятия. Рассчитав по известным формулам величины источников покрытия запасов и сравнив их между собой, составим следующую таблицу:
Таблица 7 - Определение типа финансовой устойчивости предприятия
|
Показатели |
Значение, тыс. руб. | ||
|
2007 г. |
2008 г. |
2009 г. | |
|
Величина покрытия запасов и затрат (ПЗ) |
264396 |
365625 |
407841 |
|
Собственные оборотные средства (СОС) |
160689 |
244797 |
589926 |
|
Нормальный источник формирования запасов (ИФЗ) |
631566 |
827961 |
828189 |
Тип финансовой устойчивости, указанный в таблице 7, характеризуется как нормальная финансовая устойчивость, т.е. это соответствует тому положению, когда предприятие успешно функционирует и для покрытия запасов использует “нормальные” источники средств, т. е. собственные и привлеченные, а их соотношение далее определяется при помощи коэффициентов расчетным путем, представленным в таблице 8.
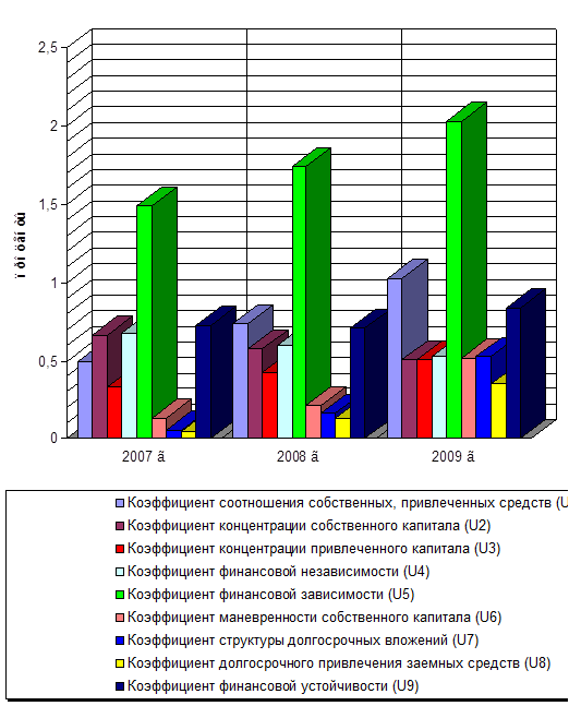
На рисунке 6 мы видим, что показатель соотношения собственных и привлеченных средств в 2007 г. на каждый рубль собственных средств, вложенных в активы предприятия приходится 49 коп. заемных средств, в 2008 г. приходится 74 коп., а в 2009 г. соответственно - 1,03 руб., что превышает нормативный уровень на 0,3 коп. Такой рост показателя (на 105,81 %) свидетельствует об усилении зависимости предприятия от кредиторов и внешних инвесторов. Но, как было сказано выше, это связано с незавершенным строительством, т. е. нельзя конкретно утверждать о снижении финансовой устойчивости предприятия. Подтверждением данной ситуации является значение показателя концентрации собственного капитала, его значение уменьшилось за три года на 23,74 % - это показывает усиление зависимости предприятия от внешних кредиторов, причем значение показателя в 2007-2009 гг. меньше нормы. Логично, что значение показателя концентрации привлеченного капитала увеличилось на 54,55 %, так как сумма двух последних показателей должна быть равна 1.
Таблица 8 - Коэффициенты, характеризующие финансовую устойчивость предприятия
|
Показатели |
2007 г. |
2008 г. |
2009 г. |
|
Коэффициент соотношения собственных, привлеченных средств (U1) |
1,027 |
0,499 |
0,74 |
|
Коэффициент концентрации собственного капитала (U2) |
0,51 |
0,667 |
0,58 |
|
Коэффициент концентрации привлеченного капитала (U3) |
0,51 |
0,33 |
0,43 |
|
Коэффициент финансовой независимости (U4) |
0,53 |
0,68 |
0,6 |
|
Коэффициент финансовой зависимости (U5) |
2,03 |
1,49 |
1,74 |
|
Коэффициент маневренности собственного капитала (U6) |
0,13 |
0,21 |
0,52 |
|
Коэффициент структуры долгосрочных вложений (U7) |
0,53 |
0,054 |
0,16 |
|
Коэффициент долгосрочного привлечения заемных средств (U8) |
0,35 |
0,047 |
0,13 |
|
Коэффициент финансовой устойчивости (U9) |
0,84 |
0,73 |
0,71 |
Расчет показателя финансовой независимости показывает, что удельный вес собственных средств в общей сумме источников финансирования в 2007-2009 гг. снизился на 22,06 %, что соответствует нормативному значению.
Рисунок 4 - Коэффициенты, характеризующие финансовую устойчивость
С данным показателем связан показатель финансовой зависимости, динамика которого за 2007-2009 гг. увеличивается на 36,24 %, что означает увеличение доли заемных средств (рис. 4).
Из рисунка 6 видим, что показатель маневренности собственного капитала в 2007 г. составляет 0,13, в 2008 г. 0,21, и в 2009 г. 0,52. Происходит рост в динамике за 2007-2009 гг. в 4 раза, и показывает увеличение той доли активов, которая капитализирована и это хорошо.
Также отметим, что при помощи показателя структуры долгосрочных вложений определили, что в 2007 г. 5,4 %, в 2008 г. 16 %, и в 2009 г. 53 % собственного капитала профинансирована внешними инвесторами, а увеличение показателя в динамике - отрицательная тенденция.
Далее произведем анализ рентабельности предприятия.
Таблица 9 - Коэффициенты, характеризующие рентабельность предприятия
|
Показатели |
2007 г. |
2008 г. |
2009 г. |
|
Рентабельность продаж (реализации), % (R1) |
-0,43 |
6,19 |
3,13 |
|
Общая рентабельность отчетного периода, % (R2) |
2,77 |
1,97 |
-0,82 |
