Ценообразование и конъюнктура рынка
Содержание
1. Средние цены и обобщающий уровень цен
2. Индексный метод в анализе конъюнктуры
3. Индексы товарной биржи
4. Индексы фондового рынка
5. Методы исследования отраслевой структуры рынка
Литература
1. Средние цены и обобщающий уровень цен
Существуют две основные концепции регистрации цен. В условиях политики стабильных цен применялся сплошной учет, с переходом к рынку в нашей стране в основном стал использоваться выборочный метод регистрации цен, как и в международной практике. Основные принципы выборочной системы регистрации цен:
• отказ от массового документированного учета, практически невозможного в условиях различных форм собственности, а следовательно, отказ от сплошного учета и переход к использованию выборочного метода;
• полный охват всех форм и видов торговли;
• формирование потребительской корзинки, то есть набора товаров-представителей.
Оценка уровня цен — первый этап в статистическом изучении цен.
Уровень цен — обобщающий показатель, характеризующий состояние цен за определенный период времени, на определенной территории, по совокупности товаров и товарных видов с близкими потребительскими свойствами '.
Можно оценить индивидуальный, средний и обобщающий уровень цен.
Индивидуальный уровень цены — это абсолютная величина — сумма денег, уплачиваемая на рынке за товарную единицу.
Для совокупности однородных товаров на основании индивидуальных цен можно рассчитать средний уровень цен, который будет выступать в качестве обобщенной характеристики для данной товарной группы.
Выбор формулы расчета средней цены зависит от наличия имеющейся дополнительной информации. Формула простой средней почти не находит применения, так как при этом не учитываются различия в составе товара. Для расчета средней цены применяются приведенные ниже формулы.
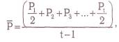
Средняя хронологическая
|
|
где t — число месяцев в периоде.
Применяется в том случае, если моменты регистрации цен равно удалены друг от друга, например фиксированы данные на начало каждого месяца. Формула находит свое применение в основном при расчете средней за год или полугодие.
2. Средняя хронологическая взвешенная
Данная формула применяется в том случае, если даты регистрации цен расположены неравномерно.
3. Средняя арифметическая взвешенная
Формула применяется в том случае, если регистрируется количество проданных товаров или процентные соотношения количества проданных товаров:
где Q — количество проданных товаров в натуральных единицах измерения (метры, литры, килограммы и т. п.).
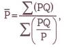
4. Средняя гармоническая взвешенная
Данная формула применяется в том случае, если известны обороты в рублях (товарооборот), соответствующие разным уровням цен, то есть в качестве весов используется стоимостный показатель:
где PQ — товарооборот в рублях.
Чтобы устранить влияние сезонности, изменения ассортимента,, географии продаж на изменение средних цен, нужно брать постоянные веса:
Рост средних цен за счет улучшения качества и ассортимента товаров нельзя рассматривать как удорожающий фактор. Его следует рассматривать как фактор реального улучшения качества товаров.
С помощью оценки уровня цен кроме определения состояния цен, дифференциации их уровня изучают закономерности поведения рыночных цен, взаимное влияние уровней цен различных товаров, соотношения цен.
В качестве обобщающего уровня цен рассматривается показатель стоимости фиксированной потребительской корзинки, который объединяет различные уровни цен в качественно новый обобщающий уровень цен. Данный показатель будет характеризовать не только обобщающую цену фиксированного набора товаров, но и «цену жизни», в этом своем качестве он также активно используется в статистике цен.
Показатель уровня цены может быть рассчитан как относительная величина, выражающая покупательную способность денежного дохода потребителей (по отдельным социальным группам, в целом по стране или по отдельным регионам):
• отношение цены (индивидуальной или средней) к среднему денежному доходу населения;
• отношение стоимости потребительской корзины к среднему денежному доходу населения.
Относительный уровень цены обеспечивает дифференцированную характеристику уровня цен и международные сравнения.
2. Индексный метод в анализе конъюнктуры
Исчисление средних цен имеет смысл только для групп однородных товаров, если же группа товаров неоднородна (например, группа продовольственных товаров), тогда для оценки динамики цен используют индексы.
Сравнение цен одного товара осуществляется с помощью индивидуального индекса цен.
Основной формой индекса цен для совокупности разнородных товаров является агрегатный индекс.
В экономической литературе считается, что первый индекс цен был построен итальянским экономистом Карли в 1764 г. Этот индекс был построен по среднеарифметической формуле без применения какой-либо системы взвешивания. В XIX веке при построении индексов цен, в основном по агрегатной или соответствующей ей среднеарифметической формуле, статистики начинают использовать систему взвешивания. В зависимости от выбора базисных или текущих весов возникли две формулы: Ласпейреса (1871 г.) и Пааше (1874 г.). Более широкое практическое применение находят две другие их формы: в формуле Ласпейреса — средняя арифметическая форма, в формуле Пааше — средняя гармоническая, которые отражены в табл. 1
Таблица 1. Агрегатные, арифметические и гармонические формы индексов цен
Преимущества агрегатной формы — в ее ясном экономическом смысле. Она устанавливает изменение цен при предположении, что количества товаров неизменны, при этом в формуле Ласпейреса берется количество проданного товара в базисном периоде (Q0), а в формуле Пааше — в текущем (Q,).
Среднеарифметическая форма не имеет такого ясного экономического смысла, но ее преимущества состоят в том, что она позволяет более легко производить сам расчет индекса и облегчает последующие его перерасчеты. В частности, при расчете по среднеарифметической взвешенной формуле с базисными весами (формула Ласпейреса) значительно легче установить веса, достаточно иметь данные о стоимости продаж указанных товаров в базисный период, то есть P0Q0
Поэтому индексы цен в большинстве развитых стран строятся по среднеарифметической взвешенной формуле Ласпейреса.
В отечественной статистике до 1992 г. общий индекс цен рассчитывался по формуле Пааше, используя гармоническую его форму. Связано это было с простотой получения данных о текущем товарообороте (PjQj) в связи со сплошной ежемесячной статистической отчетностью и незначительным изменением цен. Однако после 1992 г., когда был осуществлен переход к рыночным отношениям и принята новая методика расчета индекса потребительских цен, он стал рассчитываться так же, как и в большинстве стран, по формуле Ласпейреса.
