Ценообразование и конъюнктура рынка
Другой важный показатель — дефлятор валового национального продукта в большинстве стран рассчитывается по формуле Пааше, и тем самым расчет максимально приближен к совокупности товаров, произведенных в отчетном периоде.
В связи с расхождениями в результатах между индексами с текущими и базисными весами возникла теория о так называемых весовых отклонениях (weightbins). Суть ее сводится к утверждению, что использование и текущих и базисных весов ведет к отклонениям в величине индекса от его истинного значения, в первом случае в сторону понижения, а во втором — повышения. Поэтому задача теории индексов состоит в разработке таких формул индексов, которые ликвидировали бы эти отклонения и дали бы результаты, свободные от влияния использования весов за различные периоды.
Однако в данном случае рассматривается не экономическое содержание индексов, а определенные формальные требования к ним. С позиции экономического содержания одинаково правомерны индексы цен с использованием и базисных и текущих весов. Расхождения между их величинами не есть результат каких-то противоположных отклонений от единственно правильной величины. Правомерен и более высокий результат, полученный на основе формулы Ласпейреса, и более низкий результат, полученный по формуле Пааше, так как в обоих случаях измеряются два различных экономических явления, в первом случае — изменение цен товаров по структуре базисного, а во втором — текущего периода. Экономическое содержание обоих индексов различно, и поэтому должны быть различны их величины.
Тем не менее ряд экономистов попытались создать такие формы индексов, которые были бы «очищены» от подобных отклонений.
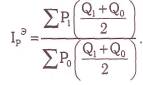
Так, например, индекс Фишера, который называют «идеальной» формулой, вычисляется как средняя геометрическая из индексов Ласпейреса и Пааше.
Или, например, формула Эджуорта—Маршалла-Боули, в которой в качестве весов используются средние количества проданной продукции за базисный и текущий периоды:
Однако все представленные формулы индексов для практических расчетов индексов цен применяются редко.
Индексы цен строятся на основе определенного товарного набора, который, в свою очередь, состоит из товаров-представителей, представляющих значительное число других товаров, не включенных в товарный набор. К цене каждого товара, включенного в индексный набор, приписывается не вес данного товара, а вес той товарной группы, изменение цен которой он представляет в индексе, за исключением тех товаров, которые представляют только самих себя. Эффективность системы представительных весов полностью определяется тем, насколько представителен сам товарный набор.
При расчете индекса необходимо решить вопрос о выборе базы для индекса цен. Под базой индекса цен, или, точнее, под базой для сравнения, понимается тот период, уровень цен которого принимается за исходный пункт сравнения, то есть за 100. В принципе при наличии готового индексного ряда любой период, охваченный им, может быть принят за базу — для этого достаточно значение индекса для других периодов разделить на значение индекса для этого периода.
3. Индексы товарной биржи
Говоря о конъюнктуре товарных бирж, необходимо отметить, что она характеризуется комплексом показателей, связанных с функционированием самой товарной биржи. К ним относятся:
1) число, состав и размер бирж; 2) спрос и предложение на бирже; 3) товарооборот биржи; 4) деловая активность на биржевом рынке; 5) биржевые цены; 6) хеджирование; 7) эффективность биржевой деятельности, биржевая инфраструктура 1. Источниками информации для определения этих показателей является государственная статистическая отчетность, данные расчетной палаты, данные котировочной палаты, отчетность брокеров и т. п.
Биржевые индексы применяются для анализа деловой активности биржи. К индексам относятся индексы заявок на продажу и покупку, индексы среднего объема заявок, индексы оптового товарооборота, индексы биржевых цен.
Биржевые индексы оптового товарооборота определяются:
1) по отдельному товару (товару-представителю) отдельного ассортимента, который рассчитывается как отношение количества продажи данного товара за отчетный период к количеству этого товара, проданному в базисном периоде, в натуральных единицах измерения:
Можно измерять динамику продажи к любому базисному периоду путем перемножения индексов за каждый последующий период после базисного. При этом следует следить за сопоставимостью периодов. Если вычисляются индексы за неравные промежутки времени, то возможно рассчитать средний дневной (месячный, квартальный и т. п.) индекс. В этих целях используется формула средней геометрической:
2)по товару в целом, включая все виды и сорта. Существуют два типа индексов: а) количественный (отношение суммы количества товара всех видов и сортов в отчетном периоде к периоду базисному); б) стоимостный (сумма объем* продаж товаров в отчетном периоде к базисному, взвешенная по неизменным ценам — ценам базисного периода);
3)по различным видам товаров. Существует несколько разновидностей таких индексов: групповые (по совокупности товаров-представителей каждой товарной группы) и сводные (по совокупности товаров-представителей всех товарных групп) по отдельным биржам, группе бирж и в целом по биржам России. Групповые и сводные индексы рассчитываются по формуле Ласпейреса. Сводный индекс цен биржевой торговли представляет собой среднюю из групповых индексов цен, взвешенных по доле отобранных товарных групп в их общем объеме оборота по бирже в базисном периоде.
Уровни цен на биржах обычно стандартизированы. Минимальное изменение цены, которое носит название пункта, составляет для разных товаров различное значение, так в США: для зерновых — 0,25 цента за бушель, для бензина — 0,01 цента за галлон, для нефти — 1 цент за баррель и др.
Вообще же информация о ценах по товарной бирже представляется в виде котировки. Так как биржевые котировки представляют собой динамические ряды за весьма длительный период времени, то это делает возможным использование их для прогнозирования. Особое значение имеет единая цена по товару за биржевой день, устанавливаемая в результате усреднения цен, которые были зафиксированы на заключительном этапе биржевого дня, и в большой мере лишенная случайных отклонений так называемая официальная котировка.
Определяется и типичная (справочная) цена товара — она рассчитывается при нестабильном рынке, в случае когда цены и факторы, влияющие на них, имеют большой разброс. Типичная цена отражает стоимость единицы товара при типичных условиях реализации. Она является наиболее реальной ценой, поскольку исключает воздействие случайных ценообразующих факторов. (В случае большого количества сделок эта цена определяется как средняя цена сделок, так как отклонения взаимно погашаются, в случае малого количества сделок выводится с учетом ценообразующих факторов и с учетом соответствия типичной цены прошлого биржевого дня ценам вновь совершенных сделок.)
