Ценообразование и конъюнктура рынка
Например, если производство медикаментов рассматривается с целью улучшения политики медицинского обслуживания населения, то рынок медицинской продукции следует определить достаточно широко, то есть одновременно рассматривать производство всех видов фармопродукции, медтехники и рынок медицинских услуг. Однако если анализируется слияние двух компаний, производящих медикаменты, в этом случае рынок трактуется в узком смысле, возможно, даже с учетом профиля медикаментов.
Рассмотрим конкретные показатели уровня концентрации рынка.
1. Для характеристики концентрации на рынке может служить показатель размера крупнейших фирм, называемый пороговой долей рынка.
По первому российскому закону 1991 г. «О конкуренции и ограничении монополистической деятельности на товарных рынках» в первоначальной редакции, если доля предприятия на данном рынке превышала 35%, то это предприятие включалось в Государственный реестр предприятий-монополистов.
По новой редакции (1995 г.) безусловным монополистом признается предприятие, контролирующее более 65% рынка.
Фирма, имеющая на рынке пороговую долю от 35 до 65%, также может быть признана монополистом, если антимонопольные органы докажут, что она занимает доминирующее положение на рынке и злоупотребляет им.
Государственный комитет по антимонопольному законодательству в 1995 г. возбудил 692 дела по злоупотреблению доминирующим положением на рынке. Наиболее типичные нарушения антимонопольного законодательства:
• навязывание невыгодных условий договора;
• установление монопольно высоких цен;
• нарушение установленного порядка ценообразования.
В некоторых странах пороговая доля рынка устанавливается не только для продавцов, но и для покупателей, по нашему же законодательству — только для продавцов.
Данный показатель как характеристика рыночной структуры имеет тот недостаток, что применяется к отдельному преудприятию и не дает характеристики структуры рынка данного товара в целом. Для этой цели служат другие показатели.
2. Индекс концентрации (concentration ratio — CR).
Характеризует долю нескольких (трех, пяти, десяти и т. п.) крупнейших фирм в общем объеме рынка в процентах. Определяется как сумма рыночных долей крупнейших фирм, действующих на рынке.
Например, для трех крупнейших фирм
Если индекс концентрации приближается к 100%, то рынок характеризуется высокой степенью монополизации, если же он немногим больше нуля, то его можно рассматривать как конкурентный.
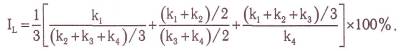
3. Индекс Линда
Применяется в Европе (в странах ЕС). Этот индекс, как и индекс концентрации, рассчитывается лишь для нескольких (т) крупнейших фирм и, следовательно, также не учитывает ситуации на «окраине» рынка. Однако в отличие от него индекс Линда ориентирован на учет различий в «ядре» рынка.
Для двух крупнейших фирм он равен процентному отношению их рыночных долей:
Для четырех фирм:
4. Индекс Херфиндаля—Хиршмана
В США с 1982 г. официальная статистика полностью отказалась от индекса концентрации. При проведении антимонопольной политики стали использовать индекс Херфиндаля-Хиршмана (HHI).
Его можно также рассматривать как индекс концентрации, однако он характеризует не долю рынка, контролируемую несколькими крупнейшими компаниями, а распределение «рыночной власти» между всеми субъектами данного рынка.
Показатель рассчитывается как сумма квадратов рыночных долей (в процентах) всех субъектов рынка в общем его объеме:
максимальное значение соответствует ситуации, когда рынок полностью монополизирован одной фирмой. В этом случае очевидно:
Если число фирм больше единицы, то HHI может принимать различные значения в зависимости от распределения рыночных долей.
Данный индекс используется в США в качестве ориентира для определения возможности слияния фирм. Если HHI < 1000, рынок считается неконцентрированным, и слияния беспрепятственно допускаются. Если 1000 < HHI < 1800 — рынок умеренно концентрированный, однако уровень выше 1400 может потребовать дополнительной проверки в целях разрешения слияния фирмам. Если же HHI > 1800 — рынок высоко концентрированный. В этом случае слияние фирм разрешается лишь при увеличении индекса Херфиндаля-Хиршмана менее чем на 50 пунктов (в результате слияния); если индекс увеличивается от 50 до 100 пунктов, назначается дополнительная проверка; если более 100 — слияние запрещается.
Другой важнейшей характеристикой концентрации производства являются коэффициенты концентрации в продуктовом разрезе. Подобные показатели, в отличие от отраслевых, не содержат погрешностей, связанных с учетом непрофильной продукции в общих отраслевых объемах производства.
Товарная номенклатура, по которой Госкомстатом России проводятся расчеты коэффициентов концентрации, в целом соответствует номенклатуре основного промышленного производства и может быть базой для индикативной характеристики степени монополизации российской промышленности.
Позитивные тенденции (некоторое снижение уровня концентрации) связаны:
• по продукции металлургической промышленности — с активизацией промышленного производства в данном секторе экономики;
• по продукции транспортного машиностроения (вагоны) и автоматическим телефонным станциям — с расширением числа отечественных производителей данной продукции, возникновению конкуренции;
• по бытовым швейным машинам, бытовым морозильникам — за счет расширения производителей по конверсионным программам.
Негативные тенденции повышения уровня концентрации наблюдаются:
• по продукции химического комплекса — в связи с отсутствием программы демонополизации;
• по продукции сельхозмашиностроения — с крайне низкой платежеспособностью потребителей данной продукции, сокращением объемов производства и концентрацией его на отдельных специализированных предприятиях.
Принято считать, что российская экономика характеризуется высокой степенью концентрации производства и монополизированности рынка в национальных масштабах. Однако реальная ситуация не столь однородна. Монополий национального масштаба относительно немного. Более характерны для экономики страны другие модели:
• локальный монополизм (монопсонизм) в масштабах региональных товарных рынков, характерным примером являются предприятия, перерабатывающие сельскохозяйственную продукцию;
• олигополия — наличие в производстве и на товарном рынке нескольких крупных предприятий, занимающих доминирующее положение (производство легковых автомобилей);
• наличие одного доминирующего предприятия и небольших предприятий-аудсайдеров (концерн «Газпром»).
Индекс Херфиндаля-Хиршмана как показатель уровня концентрации связан с показателем монопольной власти Лернера, и данное свойство широко используется в экономических исследованиях. В курсе микроэкономики индекс, характеризующий монопольную власть, определяется как величина, на которую цена превышает предельные затраты:
