Лекции по автоматике 2Рефераты >> Радиоэлектроника >> Лекции по автоматике 2
2. Параллельное включение звеньев.
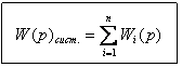
Определим передаточную функцию системы:

- для параллельного соединения звеньев.
Переходная характеристика системы равна сумме переходных характеристик звеньев, т.е.
![]() |
Частотные характеристики:
План построения ЛЧХ системы:
1. По ЛЧХ звеньев построить АФХ звеньев.
2. По АФХ звеньев построить АФХ системы.
3. По АФХ системы построить ЛЧХ системы.
3. Встречно-параллельное соединение динамических звеньев.
1. Контур с отрицательной обратной связью.
Сигнал с выхода цепи обратной связи вычитается из входного воздействия, поэтому обратная связь называется отрицательной.
Ф(р) – передаточная функция замкнутой системы (часто обозначается Wз(р)).
Составим систему уравнений контура
Тогда
- передаточная функция контура с отрицательной обратной связью.
Wпк(р) – передаточная функция прямого канала,
Wос(р) – передаточная функция канала обратной связи,
Wпк×Wос(р) – передаточная функция разомкнутой системы.
Правило определения Ф (р) приведено ранее.
Контур с неединичной обратной связью может быть преобразован к контуру с единичной отрицательной обр. связью:
где
Эквивалентная структурная
схема контура с ООС.
2. Контур с положительной обратной связью.
где
Частотные характеристики контура с ООС.
– частотная передаточная функция контура.
Рассмотрим три случая при единичной ООС:
Wос(jw)=1 Þ
Перейдём к логарифмическим характеристикам:
1. Для малых частот, т.е. w<<wсреза,
(Апк(w)>>1) и единицей можно пренебречь, тогда
т.е. при малых частотах логарифмическая ампл.- част. характ. контура идёт » по оси w, а передаточный коэффициент замкнутой системы kз »1.
2. При больших частотах, т.е. w>>wср., Апк(w)<<1, поэтому величиной Апк(w) пренебрегаем, тогда
3. w»wср (частоты отличаются на 1¸2 декады). В этом случае пользуются намограммой замыкания (намограммой Никольса).
Преобразование структурных схем.
Используется для упрощения анализа САУ, составления передаточных функций и дифференцианальных уравнений. Преобразования схем проводят так, чтобы контуры не пересекались, а чтобы один контур входил внутрь другого. Закон изменения выходного сигнала не должен изменяться в результате эквивалентного преобразования структуры.
| Исходная структура системы | Эквивалентная структура системы |
|
1. Уравнение выходной координаты:
|
Wф(p) - фиктивная передаточная функция |
|
2. Уравнение выходной координаты:
| |
|
3. |
|
4.
| |||||||||
|
5. | |||||||||
|
6. |



Перенос точки суммирования сигналов со входа на выход

Перенос точки суммирования сигналов с выхода на вход

Перенос точки съема со входа звена на его выход


Перестановка сумматоров

Вынос точки разветвления из встречно-параллельного соединения.