Кредитный риск методы оценки и регулированияРефераты >> Банковское дело >> Кредитный риск методы оценки и регулирования
Рис. 3. Структура общей ссудной задолженности по срокам на 01.07.09 г. в ОАО "Банк24.ру"
Рис. 4. Структура общей ссудной задолженности по срокам на 01.07.09г.
Рис. 5. Динамика изменения общей ссудной задолженности по срокам в ОАО "Банк24.ру" за первое полугодие 2009 г.
Из представленных рисунков (рис. 3,4,5) видно, что в ОАО "Банк24.ру" проводится политика на улучшение качества кредитного портфеля, так за анализируемый период просроченная задолженность заметно снизилась и ее удельный вес в общей сумме ссудной задолженности по состоянию на 01.01.09г. составил 25,7% против 46,3% по состоянию на 01.07.09г.
Динамика изменения удельный веса средних остатков ссудных активов, приносящих доход, в совокупных активах приведена в табл. 2.
Таблица 2 Динамика изменения удельный веса средних остатков ссудных активов, приносящих доход, в совокупных активах, %
|
Отчетная дата | |||||||
|
01.01.09 |
01.02.09 |
01.03.09 |
01.04.09 |
01.05.09 |
01.07.09 |
01.07.09 | |
|
Асс, тыс.руб. |
192,6 |
174,0 |
167,7 |
183,5 |
217,6 |
223,9 |
220,7 |
|
А, тыс.руб. |
9`799,3 |
11`013,2 |
11`047,5 |
11`776,9 |
10`885,8 |
11`575,4 |
11`737,2 |
|
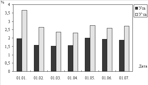
Уса, % |
1,97 |
1,58 |
1,52 |
1,56 |
2,0 |
1,93 |
1,88 |
В ОАО "Банк24.ру" кроме срочной ссудной задолженности имеется и просроченная, которая классифицируется как активы не приносящие доход. Теперь проанализируем удельный вес средних остатков ссудных активов, приносящих доход в совокупных активах, условно считая, что просроченная задолженность отсутствует (остаток перенесен в срочную ссудную задолженность (табл. 3).
Таблица 3 Динамика изменения удельный веса средних остатков ссудных активов, приносящих доход (с учетом просроченной), в совокупных активах, %
|
Отчетная дата | |||||||
|
01.01.09 |
01.02.09 |
01.03.09 |
01.04.09 |
01.05.09 |
01.07.09 |
01.07.09 | |
|
А`сс, тыс.руб. |
358,7 |
292,4 |
261,4 |
273,1 |
299,4 |
300,8 |
320,1 |
|
А, тыс.руб. |
9`799,3 |
11`013,2 |
11`047,5 |
11`776,9 |
10`885,8 |
11`575,4 |
11`737,2 |
|
У`са, % |
3,66 |
2,65 |
2,37 |
2,32 |
2,75 |
2,6 |
2,73 |
Полученные результаты изобразим графически (рис. 6)
|
Данное соотношение характеризует эффективность кредитных вложений и показывает размер средних остатков ссудных активов, приходящихся на 1 руб. совокупных активов. Условно считается, что если соотношение меньше 80%, то банку следует улучшить структуру активов в сторону увеличения ссудных активов. В ОАО "Банк24.ру" отрицательным моментом в процессе формирования структуры активных операций является крайне низкий удельный вес срочной ссудной задолженности в совокупных активах.
Изменение ссудных активов в анализируемом периоде по сравнению с соответствующим периодом прошлого года можно измерить показателем, характеризующим темп роста (Тр), значения которого для ОАО "Банк24.ру" приведены в табл. 4.
Таблица 4 Динамика изменения темпа роста остатков ссудных активов, приносящих доход, совокупных активов и коэффициента опережения
|
Показатель |
Отчетная дата | |||||||
|
01.01.09 |
01.02.09 |
01.03.09 |
01.04.09 |
01.05.09 |
01.07.09 |
01.07.09 | ||
|
Асс, млн.руб. |
192,6 |
174,0 |
167,7 |
183,5 |
217,6 |
223,9 |
220,7 | |
|
ТрАсс, % |
0 |
90,3 |
96,4 |
109,4 |
118,6 |
102,9 |
98,6 | |
|
А, млн.руб. |
9`799,3 |
11`013,2 |
11`047,5 |
11`776,9 |
10`885,8 |
11`575,4 |
11`737,2 | |
|
ТрА, % |
0 |
112,4 |
100,3 |
106,6 |
92,4 |
106,3 |
101,4 | |
|
Коп |
0 |
0,8 |
0,96 |
1,03 |
1,28 |
0,97 |
0,97 | |
