Тарифная политика и ее влияние на комиссионный доход коммерческих банковРефераты >> Банковское дело >> Тарифная политика и ее влияние на комиссионный доход коммерческих банков
Приложение Б
Финансовые показатели деятельности АКБ “Приватбанк”
Таблиця Б.1 - Баланс АКБ „Приватбанк” за 2003 – 2006 роки (поквартальний розріз)
Продовження табл.Б.1
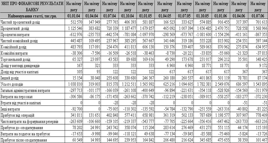
Таблиця Б.2 - Формування прибутку в АКБ „Приватбанк” у 2003 -2006 роках
![]() |
Приложение В
План счетов доходов и комиссионных расходов бухгалтерского учета
в банках Укарины [ ]
|
Клас 6. Доходи | ||
|
60 |
Процентні доходи | |
|
600 |
Процентні доходи за коштами, що розміщені в Національному банку України | |
|
6000 |
П |
Процентні доходи за коштами на вимогу, що розміщені в Національному банку України |
|
6002 |
П |
Процентні доходи за коштами, що надані Національному банку України за операціями репо |
|
6003 |
П |
Процентні доходи за короткостроковими вкладами (депозитами), що розміщені в Національному банку України |
|
601 |
Процентні доходи за коштами, що розміщені в інших банках | |
|
6010 |
П |
Процентні доходи за коштами на вимогу, що розміщені в інших банках |
|
6011 |
П |
Процентні доходи за депозитами овернайт, що розміщені в інших банках |
|
6012 |
П |
Процентні доходи за короткостроковими вкладами (депозитами), що розміщені в інших банках |
|
6013 |
П |
Процентні доходи за довгостроковими вкладами (депозитами), що розміщені в інших банках |
|
6014 |
П |
Процентні доходи за кредитами овернайт, що надані іншим банкам |
|
6015 |
П |
Процентні доходи за кредитами, що надані іншим банкам за операціями репо |
|
6016 |
П |
Процентні доходи за кредитами овердрафт та короткостроковими кредитами, що надані іншим банкам |
|
6017 |
П |
Процентні доходи за довгостроковими кредитами, що надані іншим банкам |
|
6018 |
П |
Процентні доходи за фінансовим лізингом (орендою), що наданий іншим банкам |
|
602 |
Процентні доходи за кредитами, що надані суб'єктам господарювання | |
|
6020 |
П |
Процентні доходи за кредитами овердрафт, що надані суб'єктам господарювання |
|
6021 |
П |
Процентні доходи за кредитами, що надані за операціями репо суб'єктам господарювання |
|
6022 |
П |
Процентні доходи за кредитами, що надані за врахованими векселями суб'єктам господарювання |
|
6023 |
П |
Процентні доходи за операціями з факторингу із суб'єктами господарювання |
|
6026 |
АП |
Процентні доходи за кредитами в поточну діяльність, що надані суб'єктам господарювання |
|
6027 |
АП |
Процентні доходи за кредитами в інвестиційну діяльність, що надані суб'єктам господарювання |
|
6028 |
П |
Процентні доходи за фінансовим лізингом (орендою), що наданий суб'єктам господарювання |
|
6029 |
АП |
Процентні доходи за іпотечними кредитами, що надані суб'єктам господарювання |
|
603 |
Процентні доходи за кредитами, що надані органам державної влади | |
|
6030 |
АП |
Процентні доходи за кредитами, що надані органам державної влади |
|
6031 |
АП |
Процентні доходи за кредитами, що надані органам місцевого самоврядування |
|
6032 |
АП |
Процентні доходи за іпотечними кредитами, що надані органам державної влади |
|
6033 |
АП |
Процентні доходи за іпотечними кредитами, що надані органам місцевого самоврядування |
|
604 |
Процентні доходи за кредитами, що надані фізичним особам | |
|
6040 |
П |
Процентні доходи за кредитами овердрафт, що надані фізичним особам |
|
6042 |
АП |
Процентні доходи за кредитами на поточні потреби, що надані фізичним особам |
|
6043 |
АП |
Процентні доходи за кредитами в інвестиційну діяльність, що надані фізичним особам |
|
6044 |
П |
Процентні доходи за фінансовим лізингом (орендою), що наданий фізичним особам |
|
6045 |
П |
Процентні доходи за кредитами, що надані за врахованими векселями фізичним особам |
|
6046 |
АП |
Процентні доходи за іпотечними кредитами, що надані фізичним особам |
|
605 |
Процентні доходи за цінними паперами | |
|
6050 |
АП |
Процентні доходи за цінними паперами, що рефінансуються Національним банком України, у портфелі банку на продаж |
|
6051 |
АП |
Процентні доходи за цінними паперами, що рефінансуються Національним банком України, у портфелі банку до погашення |
|
6052 |
АП |
Процентні доходи за іншими цінними паперами в портфелі банку на продаж |
|
6053 |
АП |
Процентні доходи за іншими цінними паперами в портфелі банку до погашення |
|
6054 |
АП |
Процентні доходи за цінними паперами, емітованими Національним банком України, у портфелі банку на продаж |
|
6055 |
АП |
Процентні доходи за цінними паперами, емітованими Національним банком України, у портфелі банку до погашення |
|
6056 |
АП |
Процентні доходи за цінними паперами, що рефінансуються Національним банком України, у торговому портфелі банку |
|
6057 |
АП |
Процентні доходи за цінними паперами в торговому портфелі банку |
|
608 |
Процентні доходи за операціями з філіями банку | |
|
6080 |
П |
Процентні доходи за операціями з філіями банку |
|
609 |
Інші процентні доходи | |
|
6099 |
П |
Інші процентні доходи |
|
61 |
Комісійні доходи | |
|
610 |
Комісійні доходи за операціями з банками | |
|
6100 |
П |
Комісійні доходи від розрахунково-касового обслуговування банків |
|
6101 |
П |
Комісійні доходи від кредитного обслуговування банків |
|
6103 |
П |
Комісійні доходи за операціями з цінними паперами для банків |
|
6104 |
П |
Комісійні доходи за операціями на валютному ринку та ринку банківських металів для банків |
|
6106 |
П |
Комісійні доходи від довірчого обслуговування банків |
|
6108 |
П |
Комісійні доходи за позабалансовими операціями з банками |
|
6109 |
П |
Інші комісійні доходи за операціями з банками |
|
611 |
Комісійні доходи за операціями з клієнтами | |
|
6110 |
П |
Комісійні доходи від розрахунково-касового обслуговування клієнтів |
|
6111 |
П |
Комісійні доходи від кредитного обслуговування клієнтів |
|
6113 |
П |
Комісійні доходи за операціями з цінними паперами для клієнтів |
|
6114 |
П |
Комісійні доходи за операціями на валютному ринку та ринку банківських металів для клієнтів |
|
6116 |
П |
Комісійні доходи від довірчого обслуговування клієнтів |
|
6118 |
П |
Комісійні доходи за позабалансовими операціями з клієнтами |
|
6119 |
П |
Інші комісійні доходи за операціями з клієнтами |
|
618 |
Комісійні доходи за операціями з філіями банку | |
|
6180 |
П |
Комісійні доходи за операціями з філіями банку |
|
62 |
Результат від торговельних операцій | |
|
620 |
Результат від торговельних операцій | |
|
6203 |
АП |
Результат від торгових операцій з цінними паперами в торговому портфелі банку |
|
6204 |
АП |
Результат від торгівлі іноземною валютою та банківськими металами |
|
6209 |
АП |
Результат від торговельних операцій з іншими фінансовими інструментами |
|
63 |
Інші операційні доходи | |
|
630 |
Дохід у вигляді дивідендів | |
|
6300 |
П |
Дохід у вигляді дивідендів |
|
631 |
Дохід від інвестицій в асоційовані і дочірні компанії | |
|
6310 |
П |
Дохід від інвестицій в асоційовані компанії |
|
6311 |
П |
Дохід від інвестицій у дочірні компанії |
|
638 |
Інші операційні доходи за операціями з філіями банку | |
|
6380 |
П |
Інші операційні доходи за операціями з філіями банку |
|
639 |
Інші операційні доходи | |
|
6393 |
АП |
Результат від продажу цінних паперів з портфеля банку на продаж |
|
6395 |
П |
Доходи від оперативного лізингу (оренди) |
|
6396 |
П |
Доходи від наданих консультаційних послуг фінансового характеру |
|
6397 |
П |
Штрафи, пені, що отримані банком |
|
6399 |
П |
Інші операційні доходи |
|
64 |
Інші доходи | |
|
649 |
Інші доходи | |
|
6490 |
П |
Позитивний результат від продажу нематеріальних активів та основних засобів |
|
6499 |
П |
Інші доходи |
|
67 |
Повернення списаних активів | |
|
671 |
Повернення списаних активів | |
|
6710 |
П |
Повернення раніше списаної безнадійної дебіторської заборгованості за операціями з банками |
|
6711 |
П |
Повернення раніше списаної безнадійної заборгованості інших банків |
|
6712 |
П |
Повернення раніше списаної безнадійної заборгованості за кредитами, що надані клієнтам |
|
6713 |
П |
Повернення раніше списаної безнадійної заборгованості від знецінення цінних паперів на продаж |
|
6714 |
П |
Повернення раніше списаної безнадійної заборгованості від знецінення цінних паперів у портфелі банку до погашення |
|
6715 |
П |
Повернення раніше списаної безнадійної іншої дебіторської заборгованості та інших активів банку |
|
6717 |
П |
Повернення раніше списаних безнадійних доходів минулих років |
|
Клас 7. Витрати | ||
|
71 |
Комісійні витрати | |
|
710 |
Комісійні витрати | |
|
7100 |
А |
Комісійні витрати на розрахунково-касове обслуговування |
|
7101 |
А |
Комісійні витрати на кредитне обслуговування |
|
7103 |
А |
Комісійні витрати за операціями з цінними паперами |
|
7104 |
А |
Комісійні витрати за операціями на валютному ринку та ринку банківських металів |
|
7106 |
А |
Комісійні витрати на довірче обслуговування |
|
7108 |
А |
Комісійні витрати за позабалансовими операціями |
|
7109 |
А |
Інші комісійні витрати |
|
718 |
Комісійні витрати за операціями з філіями банку | |
|
7180 |
А |
Комісійні витрати за операціями з філіями банку |

