Динамика ВВП РФ, статистический анализРефераты >> Статистика >> Динамика ВВП РФ, статистический анализ
![]()
![]()
Нарисуем точки и регрессию:
Рисунок 1. График тренда
1.2. Дисперсионный анализ для линейной регрессии
Среднее Y
Остаточная вариация (RSS)

Общая вариация (TSS) 
Объясняемая вариация (ESS)
![]()
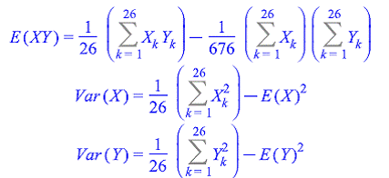
Правило сложения дисперсий выполняется [7]. Подсчитаем оценку дисперсии ошибки, т.е. ![]()

![]()
Среднее X
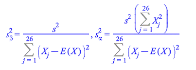
Найдем оценки дисперсий коэффициентов регрессии
по формулам
Получим
1.3. Эластичность показательной регрессии
Подсчитаем функцию эластичности по формуле
В нашем случае
или
Значение эластичности в средней точке
Показывает, что при изменении X на 1% Y меняется на
процентов [6].
1.4. Изучение качества линейной регрессии
Доверительные интервалы для оцененных параметров
уровень доверия
. Количество степеней свободы 24. Критическое значение статистики Стьюдента ![]()
Доверительный интервал [10] для beta
равен
. Не можем на данном уровне значимости принять гипотезу beta=0 т.к. НЕ попадает в доверительный интервал.
Доверительный интервал для alpha
равен
. Мы НЕ можем на данном уровне значимости принять гипотезу alpha=0 т.к. НЕ попадает в доверительный интервал.
Критерий Фишера значимости всей регрессии
Коэффициент корреляции
Где
показывает, что связь СИЛЬНА . Коэффициент детерминации ![]()
показывает, что регрессия объясняет 97,41 процентов вариации признака [4].
Убедимся в значимости модели с помощью статистики Фишера

которая БОЛЬШЕ критического значения
![]()
![]()
Следовательно, регрессия ЗНАЧИМА
Проверим значимость коэффициента корреляции

![]()
поэтому выборочный коэффициент корреляции ЗНАЧИМО отличается от нуля. Средняя ошибка аппроксимации
1.5. Колеблемость признака
Колеблемость - это отклонения уровней динамического ряда от тренда, т.е. остатки регрессии [13]. Найдем остатки регрессии (т.е. очищаем признак от тренда)
![]()
![]()
![]()
![]()
![]()
![]()
![]()
![]()
![]()
![]()
![]()
![]()
![]()
![]()
![]()
![]()
![]()
![]()
![]()
Нарисуем график остатков
