Динамика ВВП РФ, статистический анализРефераты >> Статистика >> Динамика ВВП РФ, статистический анализ
стали гораздо меньше остатком в парной регрессии. На графике можно видеть, что остатки в новой регрессии не напоминают о наличии сезонности и не обладают (скорее всего) свойством автокорреляции.
Рисунок 3. График остатков
Таким образом, мы получили регрессию с гораздо лучшими прогнозными свойствами.
Глава 3. Индексный анализ
Применим аппарат. Результаты приведены ниже
Таблица 6. индексный анализ
Рисунок 4. График сглаженного признака
Глава 4. Полиномиальная регрессия
Приведем массив данных
![]()
![]()
![]()
![]()
![]()
![]()
![]()
![]()
![]()
![]()
![]()
![]()
![]()
4.1. Построение регрессии
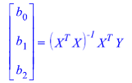
Для регрессии вида
найдем коэффициенты
Найдем обратную матрицу
Дополнительные миноры


Их определители
![]()
![]()
![]()
![]()
![]()
![]()
Союзная матрица
Союзная транспонированная матрица
Делим каждый элемент на определитель, получаем
Найдем

Уравнение регрессии имеет вид
Нарисуем график
Рисунок 5. График регрессии в R^3
Среднее значение регрессоров и Y
![]()
![]()
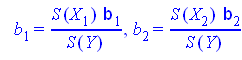
4.2. Коэффициенты эластичности
равны![]()
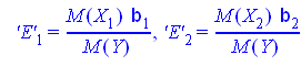
4.3. Стандартизованные коэффициенты
![]()
![]()
![]()
Тогда
4.4. Парные коэффициенты корреляции



4.5. Частные коэффициенты корреляции



